Última actualización :
27/01/2026
Anestésico general   Amobarbital sodium  
Inyectables
Estabilidad en solucion Estabilidad en mezcla Factores que influyen sobre la estabilidad Compatibilidades método de inyección Bibliografía pdf
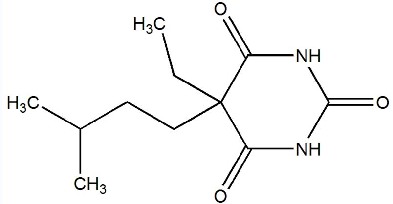
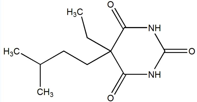
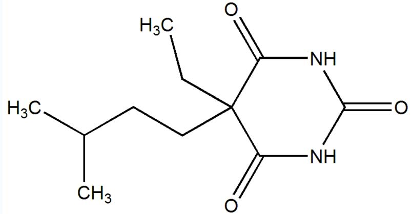
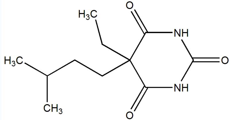
   Estructura química  

Nombre comercial   Nombre comercial     

Los nombres comerciales son orientativos y los excipientes de la formulación pueden ser distintos dependiendo del país y del laboratorio fabricante.

Amytal Sodium Estados Unidos de América
método de inyección   método de inyección :Amobarbital sodium     
Voie
Intravenoso
Intramuscular

  Mentions Légales