Última actualización :
27/01/2026
Anestésico general   Amobarbital sodium  
Inyectables
Estabilidad en solucion Estabilidad en mezcla Factores que influyen sobre la estabilidad Compatibilidades método de inyección Bibliografía pdf
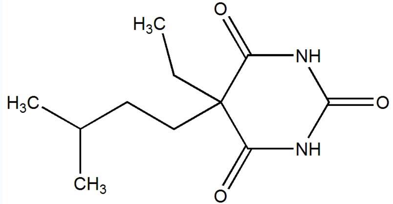
   Estructura química  

Nombre comercial   Nombre comercial     

Los nombres comerciales son orientativos y los excipientes de la formulación pueden ser distintos dependiendo del país y del laboratorio fabricante.

Amytal Sodium Estados Unidos de América
Bibliografía   Inyectables   Bibliografía : Amobarbital sodium  

  Mentions Légales