Dernière mise à jour :
27/01/2026
Anesthésique général   Amobarbital sodium  
injectable
Stabilité des solutions Stabilité en mélange Facteur influençant la stabilité Compatibilités Voie d’administration Bibliographie pdf
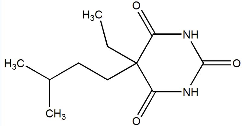
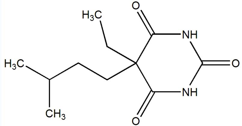
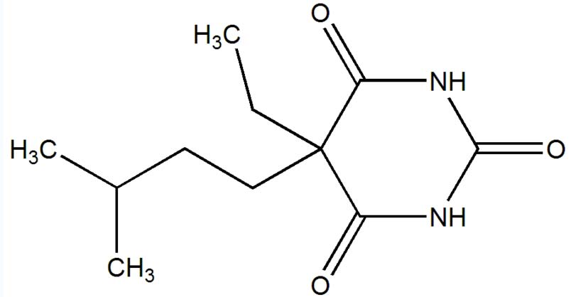
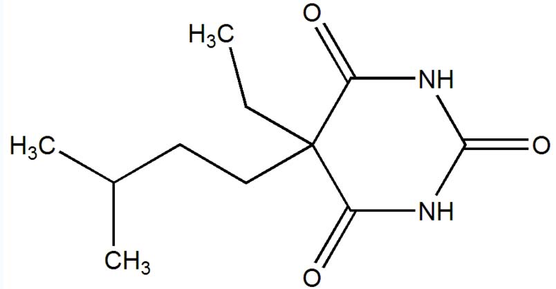
   Structure chimique  

Noms commerciaux   Noms commerciaux     

Les noms commerciaux sont donnés à titre indicatif et la composition en excipients peut être différente selon les pays et selon les laboratoires

Amytal Sodium Etats Unis d’Amérique
Bibliographie   injectable   Bibliographie : Amobarbital sodium  

  Mentions Légales