最新更新 :
27/01/2026
Infostab
药品清单
简要表
搜索兼容性
Y 站点兼容性表
引用文献
研究小組
valistab
海报
鏈接
贊助商
作者
使用指南
时讯
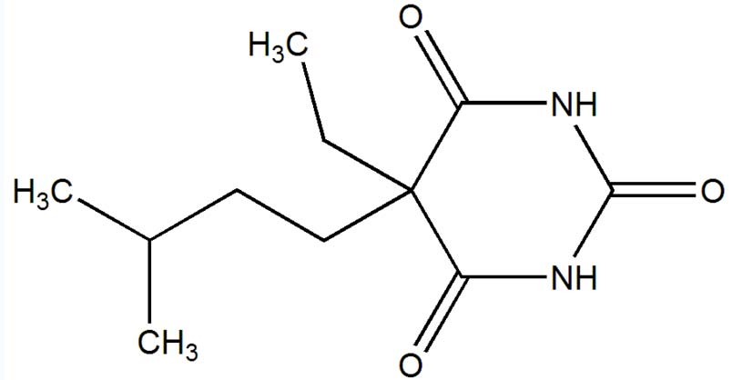
Amobarbital sodium
化学式
商品名
商品名仅供参考, 药品所用的辅料可能依国家或厂商不同有所不同。
Amytal Sodium
美国
引用文献 : Amobarbital sodium
种类
出版物
642
文献
Baumgartner TG, Knudsen AK, Dunn AJ, Kilroy RA.
Norepinephrine stability in saline solutions.
Hosp Pharm 1988 ; 23: 44,49, 59.
3525
实验室
Pethidine hydrochloride - Summary of product Characteristics
AMCO Amdipharm Mercury 2012
3526
实验室
Clindamycin (Dalacin®) - Summary of Product Characteristics
Pharmacia 2010
3531
实验室
Morphine sulphate 10 mg/mL injection BP – Summary of Product Characteristics
Wockhardt 2014
3588
实验室
Vancomycine (Vancocin®) - Résumé des caractéristiques du produit
Sandoz 2011
3631
实验室
Suxamethonium (Suxamethonium Aguettant®) - Résumé des caractéristiques du produit
Aguettant 2016
3674
实验室
Erythromycin lactobionate - Summary of Product Characteristics
PanPharma 2016
3676
实验室
Atracurium bésilate (Atracurium Hospira®) - Résumé des caractéristiques du produit
Hospira 2014
4009
实验室
Droperidol - Résumé des Caractéristiques du Produit
Panpharma 2017
4377
文献
Monsein L.H, Miller T.J, Kuwahara S.K, Sostre S, Debrun G.M.
Ionic lodinated Contrast Medium and Amobarbital Sodium Mixtures: Potential for Precipitation.
Radiology 1992 ; 184: 385-387.
4700
实验室
Esketamine 25 mg/mL solution for injection/infusion. - Summary of Product Characteristics
AS Kalceks 2022
Mentions Légales