最新更新 :
27/01/2026
Infostab
薬剤一覧
まとめ一覧
互換性の検索
Yサイト対応表
引用文献
研究チーム
valistab
ポスター
接続
スポンサー
作成者
ユーザーガイド
ニュースレター
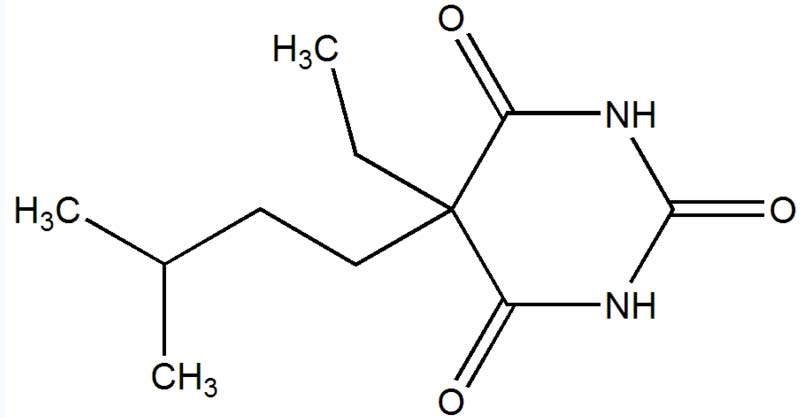
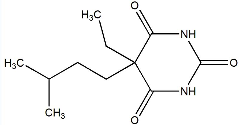
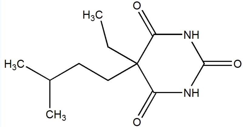
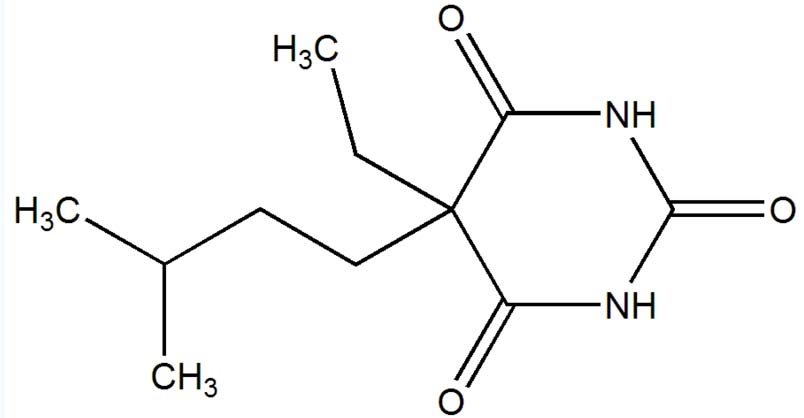
Amobarbital sodium
化学構造
商品名
商品名、賦形剤は国、製薬会社ごとに異なることがあります
Amytal Sodium
アメリカ
引用文献 : Amobarbital sodium
形式
出版物
642
雑誌
Baumgartner TG, Knudsen AK, Dunn AJ, Kilroy RA.
Norepinephrine stability in saline solutions.
Hosp Pharm 1988 ; 23: 44,49, 59.
3525
実験
Pethidine hydrochloride - Summary of product Characteristics
AMCO Amdipharm Mercury 2012
3526
実験
Clindamycin (Dalacin®) - Summary of Product Characteristics
Pharmacia 2010
3531
実験
Morphine sulphate 10 mg/mL injection BP – Summary of Product Characteristics
Wockhardt 2014
3588
実験
Vancomycine (Vancocin®) - Résumé des caractéristiques du produit
Sandoz 2011
3631
実験
Suxamethonium (Suxamethonium Aguettant®) - Résumé des caractéristiques du produit
Aguettant 2016
3674
実験
Erythromycin lactobionate - Summary of Product Characteristics
PanPharma 2016
3676
実験
Atracurium bésilate (Atracurium Hospira®) - Résumé des caractéristiques du produit
Hospira 2014
4009
実験
Droperidol - Résumé des Caractéristiques du Produit
Panpharma 2017
4377
雑誌
Monsein L.H, Miller T.J, Kuwahara S.K, Sostre S, Debrun G.M.
Ionic lodinated Contrast Medium and Amobarbital Sodium Mixtures: Potential for Precipitation.
Radiology 1992 ; 184: 385-387.
4700
実験
Esketamine 25 mg/mL solution for injection/infusion. - Summary of Product Characteristics
AS Kalceks 2022
Mentions Légales