Последно актуализиране :
27/01/2026
Общ анестетик   Amobarbital sodium  
Инжекция/Инжекционен
Стабилност на разтвори Стабилност на смеси Фактори, повлияващи стабилността Съвместимост Път на въвеждане Библиография Pdf
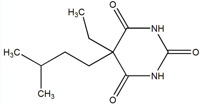
   Химична структура  

Търговско наименование   Търговско наименование     

Търговските имена са примерни и съставът на помощните вещества може да бъде различен в зависимост от държавата и лабораториите

Amytal Sodium Съединени Американски щати / САЩ
Библиография   Инжекция/Инжекционен   Библиография : Amobarbital sodium  
Вид Публикация
642 Списание Baumgartner TG, Knudsen AK, Dunn AJ, Kilroy RA.
Norepinephrine stability in saline solutions.
Hosp Pharm 1988 ; 23: 44,49, 59.
3525 Лаборатория Pethidine hydrochloride - Summary of product Characteristics
AMCO Amdipharm Mercury 2012
3526 Лаборатория Clindamycin (Dalacin®) - Summary of Product Characteristics
Pharmacia 2010
3531 Лаборатория Morphine sulphate 10 mg/mL injection BP – Summary of Product Characteristics
Wockhardt 2014
3588 Лаборатория Vancomycine (Vancocin®) - Résumé des caractéristiques du produit
Sandoz 2011
3631 Лаборатория Suxamethonium (Suxamethonium Aguettant®) - Résumé des caractéristiques du produit
Aguettant 2016
3674 Лаборатория Erythromycin lactobionate - Summary of Product Characteristics
PanPharma 2016
3676 Лаборатория Atracurium bésilate (Atracurium Hospira®) - Résumé des caractéristiques du produit
Hospira 2014
4009 Лаборатория
Droperidol - Résumé des Caractéristiques du Produit
Panpharma 2017
4377 Списание Monsein L.H, Miller T.J, Kuwahara S.K, Sostre S, Debrun G.M.
Ionic lodinated Contrast Medium and Amobarbital Sodium Mixtures: Potential for Precipitation.
Radiology 1992 ; 184: 385-387.
4700 Лаборатория Esketamine 25 mg/mL solution for injection/infusion. - Summary of Product Characteristics
AS Kalceks 2022

  Mentions Légales