Poslední aktualizace :
27/01/2026
Centrální anestetikum   Amobarbital sodium  
injekce
Stabilita roztoků Stabilita směsí Faktory ovlivňující stabilitu Kompatibilita Způsoby aplikace Odkazy pdf
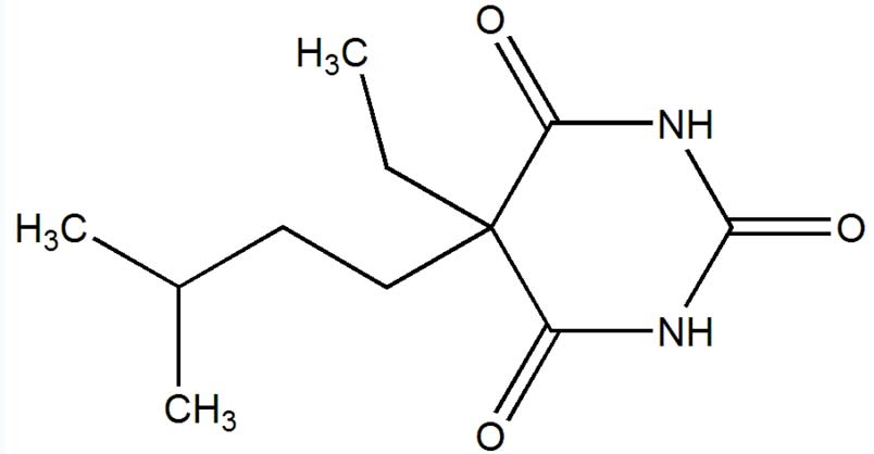
   Chemický vzorec  

Obchodní název   Obchodní název     

Trade names are indicative and excipients composition can be different depending on the country and manufacturers

Amytal Sodium USA
Odkazy   injekce   Odkazy : Amobarbital sodium  

  Mentions Légales