Laatste update :
27/01/2026
Anestheticum   Amobarbital sodium  
injecteerbaar geneesmiddel
Stabiliteit in oplossing Stabiliteit in mengsels Factoren die de stabiliteit beïnvloeden Verenigbaarheden Toedieningswijze Literatuur pdf
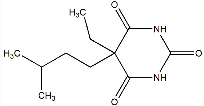
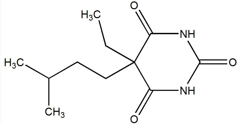
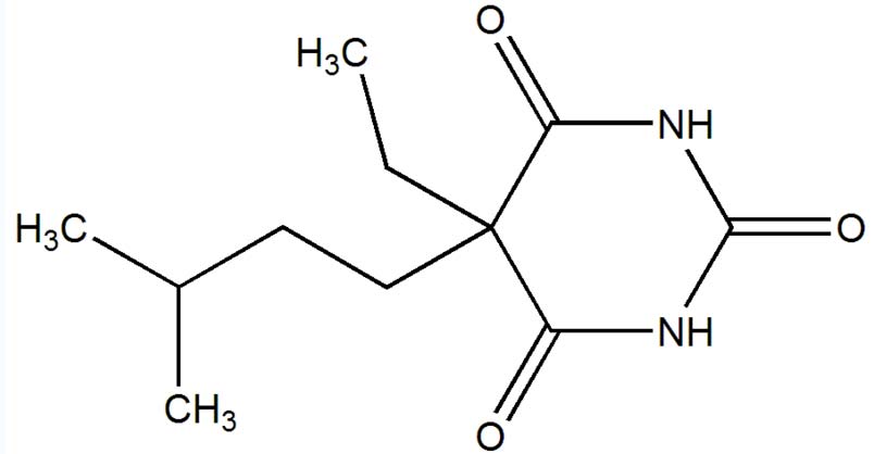
   Molecuulstructuur  

Merknamen in verschillende landen   Merknamen in verschillende landen     

Handelsnamen zijn slechts een indicatie; de samenstelling van hulpstoffen kan per land variëren afhankelijk van de fabrikant

Amytal Sodium USA
Literatuur   injecteerbaar geneesmiddel   Literatuur : Amobarbital sodium  

  Mentions Légales