Utolsó frissítés :
27/01/2026
Általános érzéstelenítő   Amobarbital sodium  
Injekció
Az oldatok stabilitása A keverékek stabilitása Stabilitást befolyásoló tényezők Kompatibilitás Az alkalmazás módja Irodalom pdf
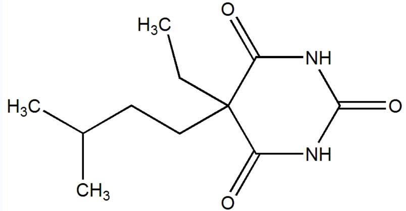
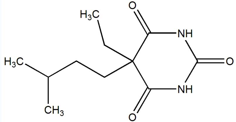
   Kémiai szerkezet   

Kereskedelmi név   Kereskedelmi név     

A kereskedelmi név meghatározó jelentőségű: a készítmények összetétele országonként, előállítóként eltérő lehet

Amytal Sodium Amerikai Egyesült Államok
Irodalom   Injekció   Irodalom : Amobarbital sodium  

  Mentions Légales