Cập nhật lần cuối :
27/04/2026
Kháng sinh   Daptomycin  
Dạng tiêm
Tính ổn định của các dung dịch Độ ổn định khi trộn lẫn Những yếu tố ảnh hưởng đến độ ổn định Khả năng tương thích Đường dùng Tài liệu tham khảo Pdf
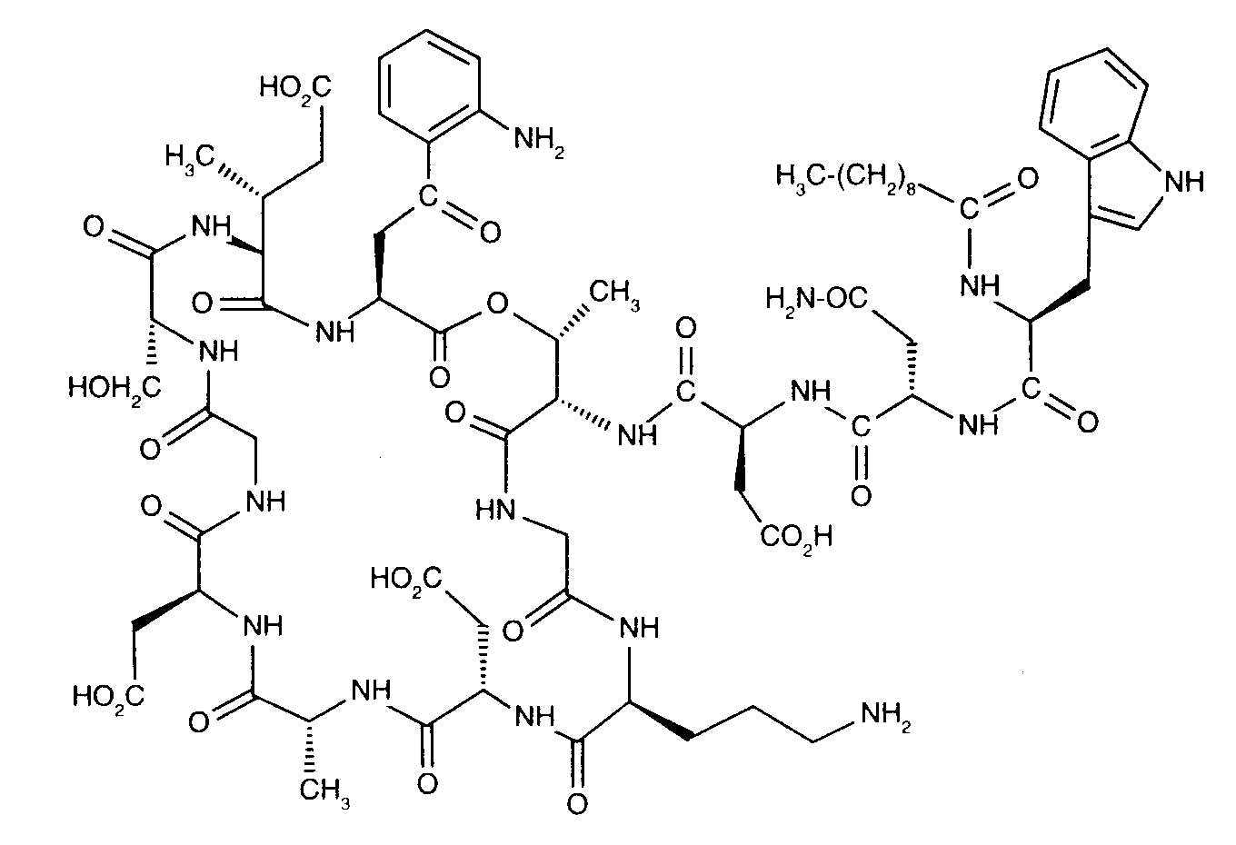
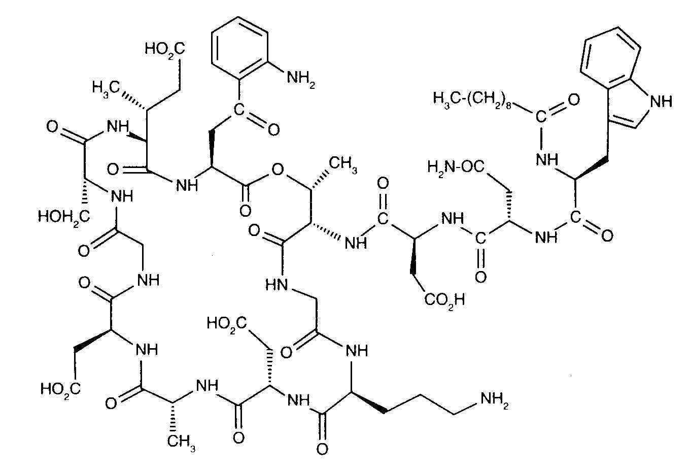
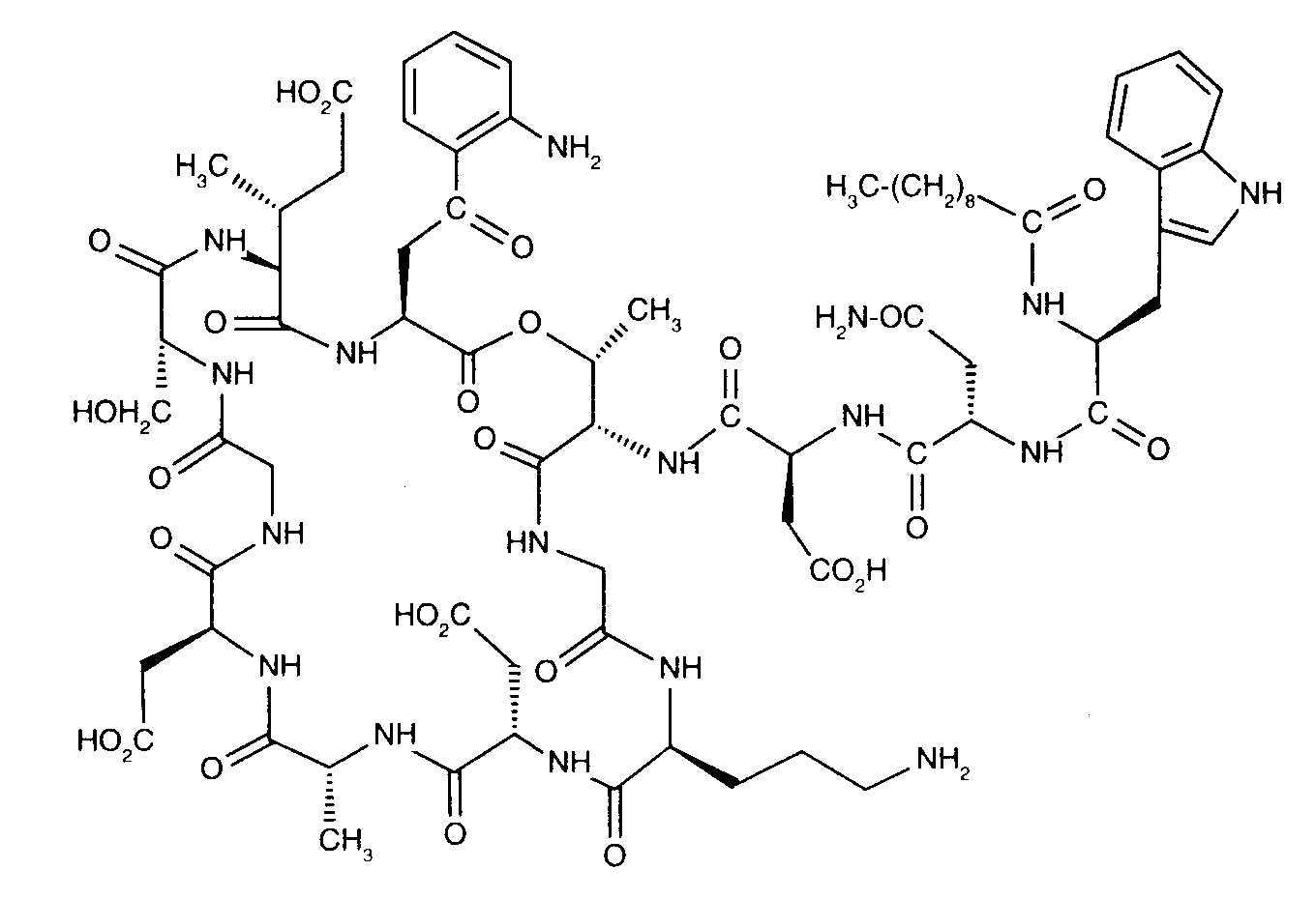
   Cấu trúc hóa học  

Tên thương mại   Tên thương mại     

Các tên thương mại được cung cấp và thành phần tá dược có thể khác nhau giữa các quốc gia và các hãng dược

Cubicin Ấn Độ, Anh, Áo, Argentina, Ba Lan, Bồ Đào Nha, Canada, Chile, Colombia, Hà Lan, Hoa Kỳ, Hungary, Hy Lạp, Iceland, Ireland, Malaysia, Mexico, Na Uy, new zealand, Nhật, Phần Lan, Pháp, Romania, Tây Ban Nha, Thổ Nhĩ Kỳ, Thụy Sỹ, Thụy Điển, Úc, Venezuela, Ý, Đan Mạch, Đức
Daptomicina Argentina, Tây Ban Nha, Ý
Daptomicine Anh, Hungary, Na Uy, Phần Lan, Đức
Exfuno Brazil, Chile
Stenkivar Nigeria
Trisk Brazil

Những yếu tố ảnh hưởng đến độ ổn định   Dạng tiêm   Những yếu tố ảnh hưởng đến độ ổn định : Daptomycin        

  Mentions Légales