آخر تحديث :
27/04/2026
مضاد حيوي   Daptomycin  
حقن
الاستقرار في حلول استقرار مخاليط العوامل التي تؤثر على الاستقرار التوافق طريقة التعاطي مراجع pdf
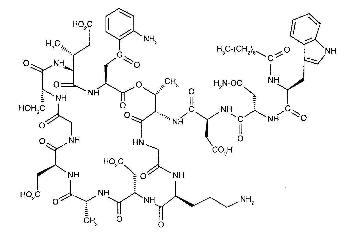
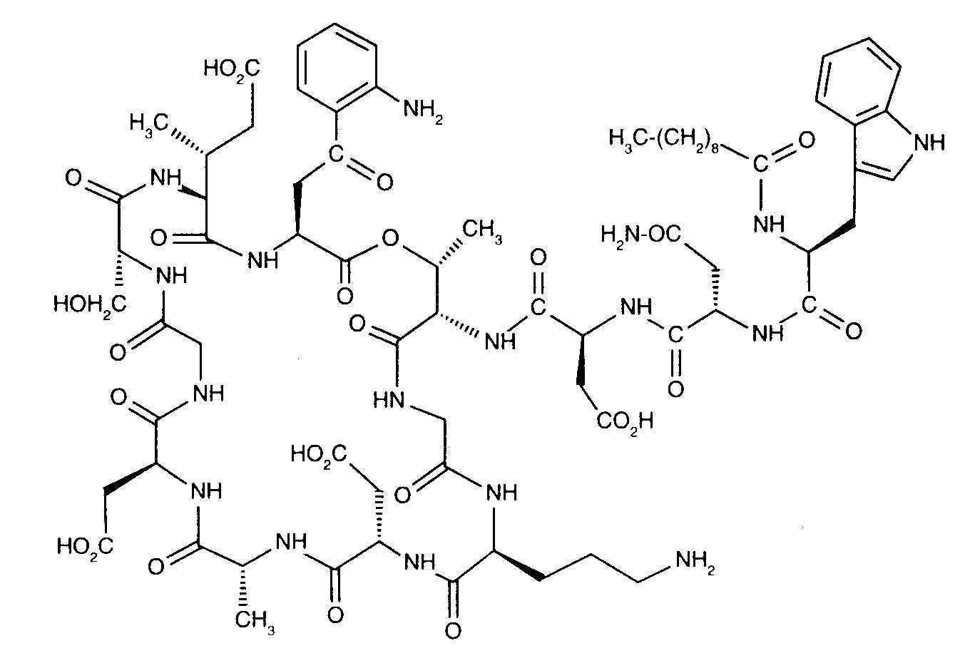
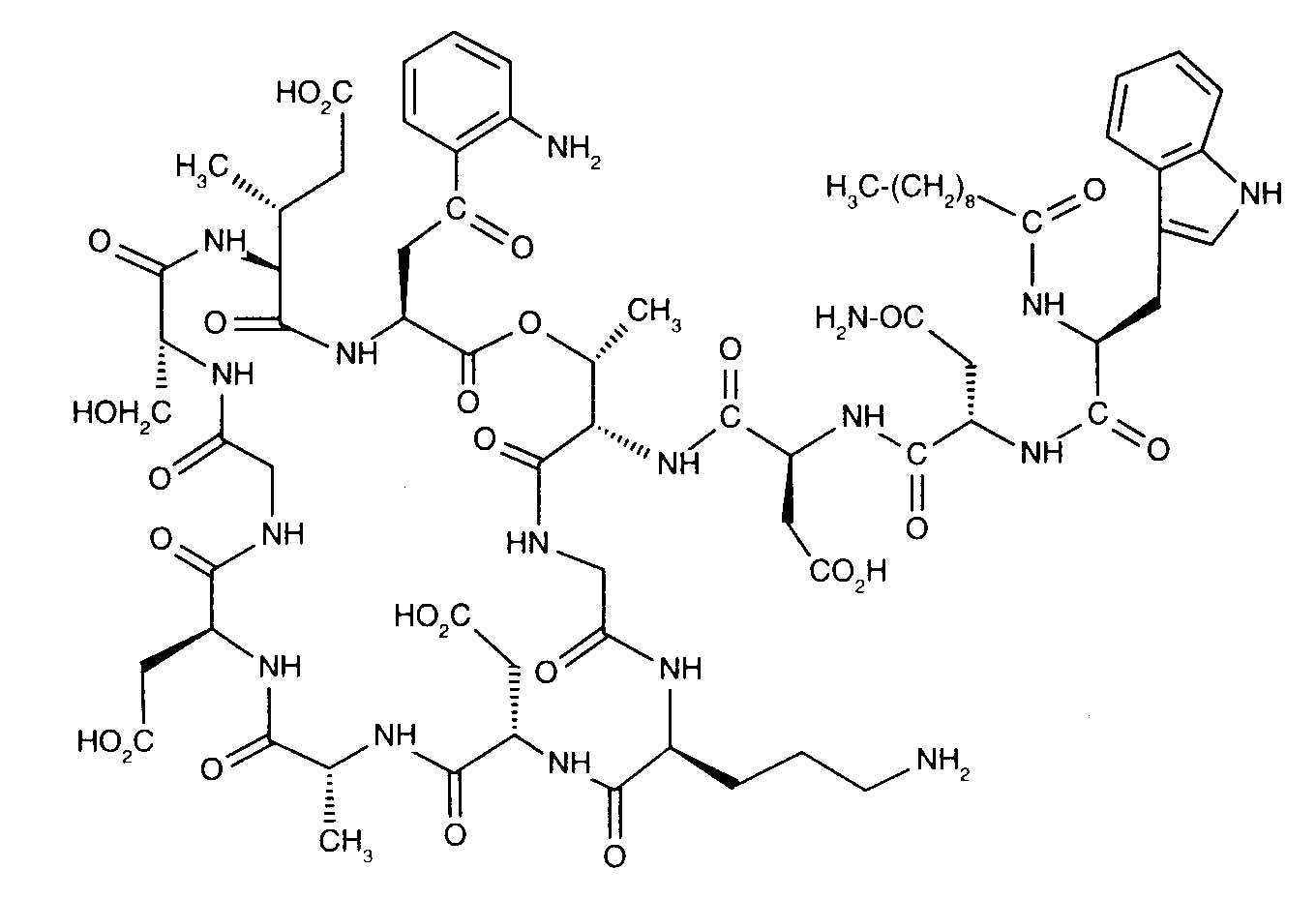
   التركيب الكيميائي  

حجز الاسم التجاري   حجز الاسم التجاري     

تحذير الأسماء التجاريه المختلفه قد تحتوي علي محتوي إضافات مختلفة حسب الدوله و المعمل

Cubicin أستراليا, ألمانيا, أيسلندا, إسبانيا, إيطاليا, الأرجنتين, البرتغال, الدنمارك, السويد, المكسيك, النرويج, النمسا, الهند, الولايات المتحدة, اليابان, ايرلندا, بريطانيا العظمي, بولندا, تركيا, تشيلي, رومانيا, زيلاندا الجديدة, سويسرا, فرنسا, فنزويلا, فنلندا, كندا, كولومبيا, ماليزيا, هنغاريا, هولندا, يونان
Daptomicina إسبانيا, إيطاليا, الأرجنتين
Daptomicine ألمانيا, النرويج, بريطانيا العظمي, فنلندا, هنغاريا
Exfuno البرازيل, تشيلي
Stenkivar نيجيريا
Trisk البرازيل

العوامل التي تؤثر على الاستقرار   حقن   العوامل التي تؤثر على الاستقرار : Daptomycin        

  Mentions Légales