Pēdējā atjaunošana :
27/04/2026
Antibiotika   Daptomycin  
Injekcija
Šķīduma stabilitāte Maisījuma stabilitāte Stabilitāti ietekmējoši faktori Saderība Levadīšanas veids Literatūras saraksts pdf
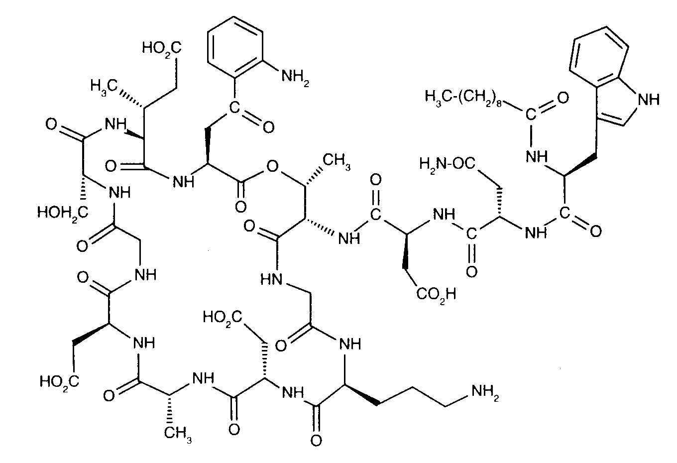
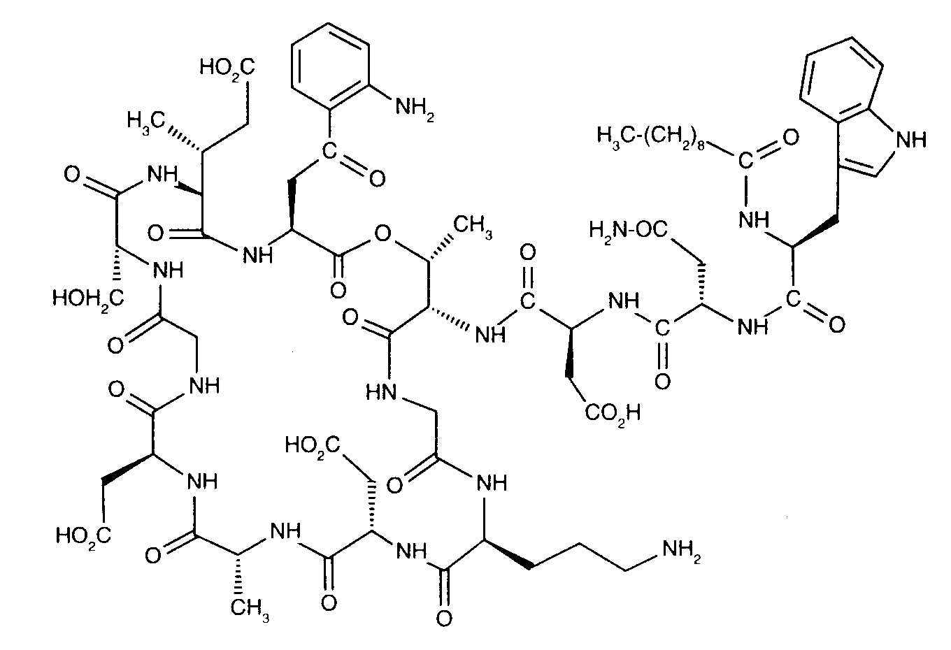
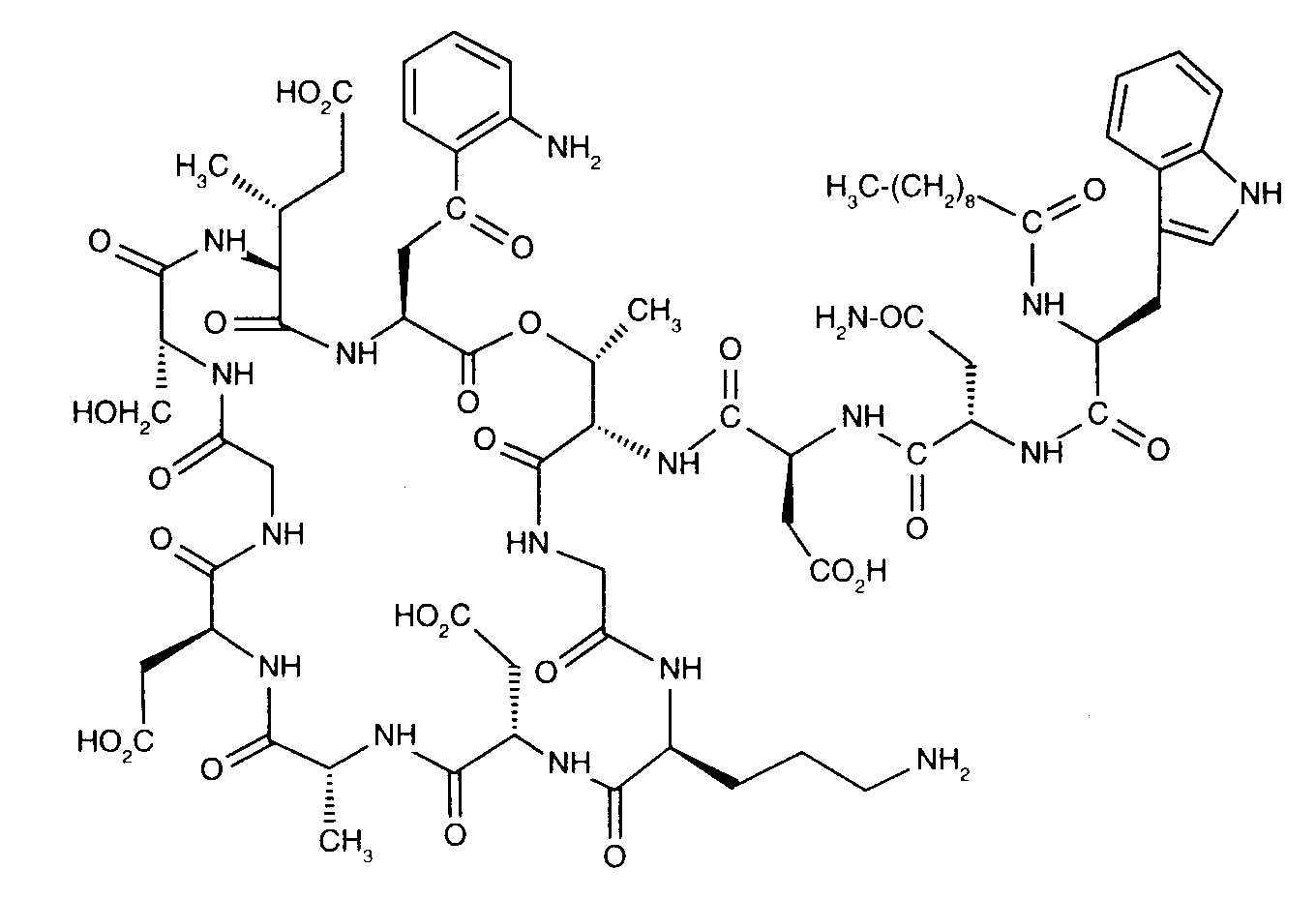
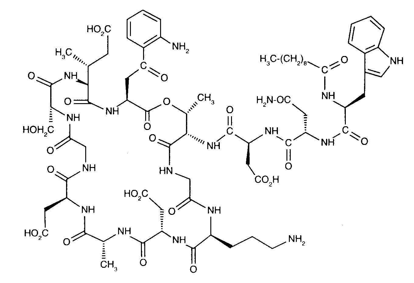
   Ķīmiskā uzbūve   

Oriģinālais nosaukums   Oriģinālais nosaukums     

Tirdzniecības nosaukumi ir apzīmējoši un palīgvielas var atšķirties dažādām valstīm un laboratorijām

Cubicin Amerikas Savienotās Valstis, Argentīna, Austrālija, Austrija, Čīle, Dānija, Francija, Grieķija, Holande, Indija, Īrija, Islande, Itālija, Japāna, Jaunzēlande, Kanāda, Kolumbija, Lielbritānija, Malaizija, Meksika, Norvēģija, Polija, Portugāle, Rumānija, Somija, Spānija, Šveice, Turcija, Ungārija, Vācija, Venecuēla, Zviedrija
Daptomicina Argentīna, Itālija, Spānija
Daptomicine Lielbritānija, Norvēģija, Somija, Ungārija, Vācija
Exfuno Brazīlija, Čīle
Stenkivar Nigērija
Trisk Brazīlija

Stabilitāti ietekmējoši faktori   Injekcija   Stabilitāti ietekmējoši faktori : Daptomycin        

  Mentions Légales