Letztes “update” :
27/04/2026
Antibiotikum   Daptomycin  
Injektion
Stabilität der Lösung Gemengestabilität Stabilitätbeeinflussende Faktoren Kompatibilitäten Applikationsart Literaturverzeichnis pdf
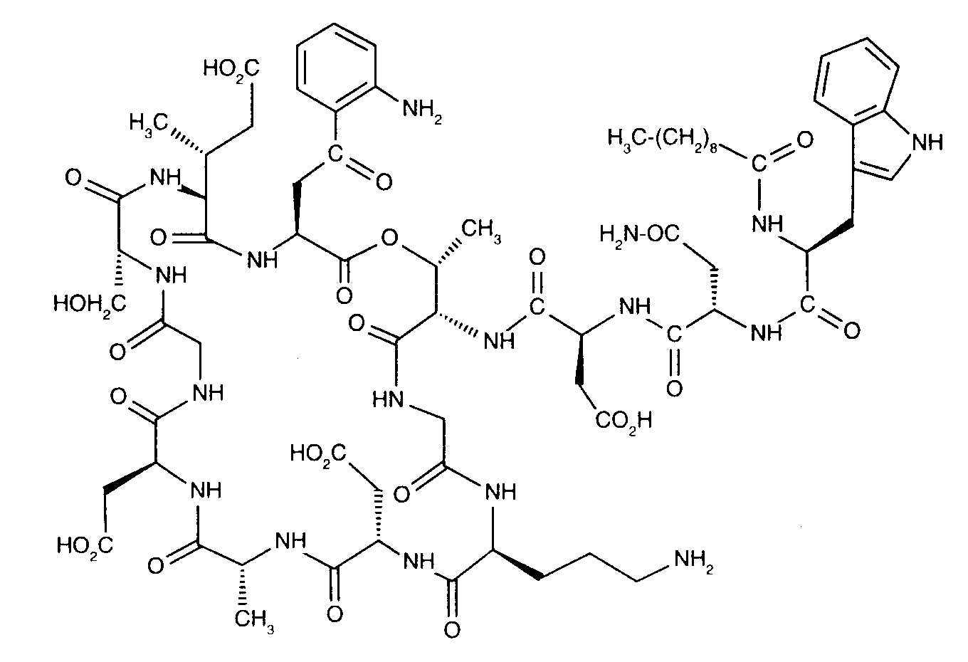
   Chemische Struktur  

Handelsmarke   Handelsmarke     

Handelsnamen sind als beispielhaft anzusehen. Sonstige Bestandteile können je nach Hersteller oder Land verschieden sein

Cubicin Argentinien, Australien, Chile, Dänemark, Deutschland, Finnland, Frankreich, Griechenland, Großbritannien, Indien, Irland, Island, Italien, Japan, Kanada, Kolumbien, Malaysia, Mexiko, Neuseeland, Niederlande, Norwegen, Österreich, Polen, Portugal, Rumänien, Schweden, Schweiz, Spanien, Türkei, Ungarn, Venezuela, Vereinigte Staaten von Amerika
Daptomicina Argentinien, Italien, Spanien
Daptomicine Deutschland, Finnland, Großbritannien, Norwegen, Ungarn
Exfuno Brasilien, Chile
Stenkivar Nigeria
Trisk Brasilien

Stabilitätbeeinflussende Faktoren   Injektion   Stabilitätbeeinflussende Faktoren : Daptomycin        

  Mentions Légales