Τελευταία ενημέρωση :
27/04/2026
Αντιβιοτικό   Daptomycin  
Ενέσιμο
Σταθερότητα διαλυμάτων Σταθερότητα σε μίγματα Παράγοντας που επηρεάζει τη σταθερότητα Συμβατότητες Τρόπος χορήγησης Βιβλιογραφία pdf
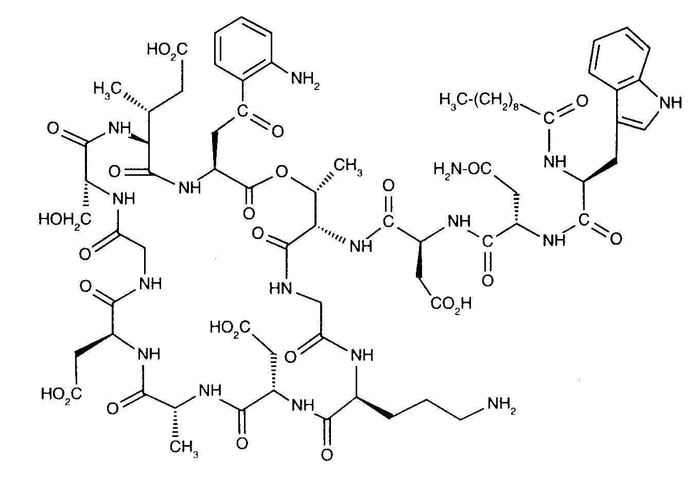
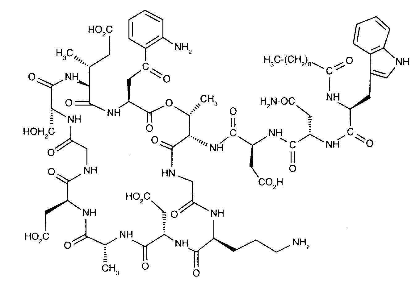
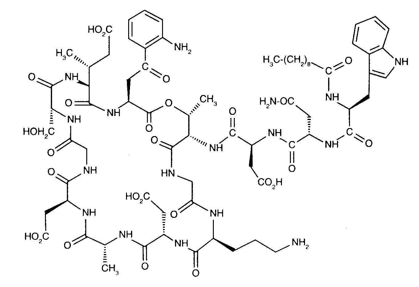
   χημική δομή  

Εμπορική ονομασία   Εμπορική ονομασία     

Οι εμπορικές ονομασίες είναι ενδεικτικές και η σύνθεση των εκδόχων μπορεί να διαφέρει ανάλογα με τη χώρα και τα εργαστήρια

Cubicin Αργεντινή, Αυστραλία, Αυστρία, Βενεζουέλα, Γαλλία, Γερμανία, Δανία, Ελβετία, Ελλάδα, Η.Π.Α., Ιαπωνία, Ινδία, Ιρλανδία, Ισλανδία, Ισπανία, Ιταλία, Καναδάς, Κολομβία, Μαλαισία, Μεγάλη Βρετανία, Μεξικό, νέα Ζηλανδία, Νορβηγία, Ολλανδία, Ουγγαρία, Πολωνία, Πορτογαλία, Ρουμανία, Σουηδία, Τουρκία, Φινλανδία, Χιλή
Daptomicina Αργεντινή, Ισπανία, Ιταλία
Daptomicine Γερμανία, Μεγάλη Βρετανία, Νορβηγία, Ουγγαρία, Φινλανδία
Exfuno Βραζιλία, Χιλή
Stenkivar Νιγηρία
Trisk Βραζιλία

Παράγοντας που επηρεάζει τη σταθερότητα   Ενέσιμο   Παράγοντας που επηρεάζει τη σταθερότητα : Daptomycin        

  Mentions Légales