Последнее обновление :
27/04/2026
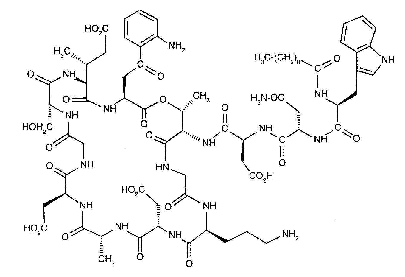
Антибиотик   Daptomycin  
Инъекция
Стабильность растворов Стабильность смесей Факторы, которые влияют на стабильность Совместимость Способы введения Библиография pdf
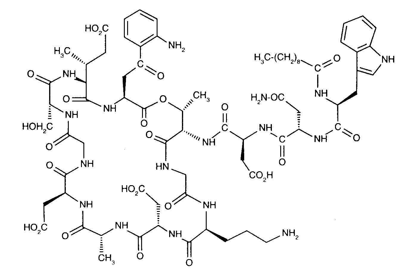
   Химическая структура  

Товарное название   Товарное название     

Trade names are indicative and excipients composition can be different depending on the country and manufacturers

Cubicin Австралия, Австрия, Аргентина, Великобритания, Венгрия, Венесуэла, Германия, Голландия, Греция, Дания, Индия, Ирландия, Исландия, Испания, Италия, Канада, Колумбия, Малайзия, Мексика, новая Зеландия, Норвегия, Польша, Португалия, Румыния, Соединённые Штаты Америки, Турция, Финляндия, Франция, чили, Швейцария, Швеция, Япония
Daptomicina Аргентина, Испания, Италия
Daptomicine Великобритания, Венгрия, Германия, Норвегия, Финляндия
Exfuno Бразилия, чили
Stenkivar Нигерия
Trisk Бразилия

Факторы, которые влияют на стабильность   Инъекция   Факторы, которые влияют на стабильность : Daptomycin        

  Mentions Légales