Dernière mise à jour :
27/04/2026
Antibiotique   Daptomycin  
injectable
Stabilité des solutions Stabilité en mélange Facteur influençant la stabilité Compatibilités Voie d’administration Bibliographie pdf
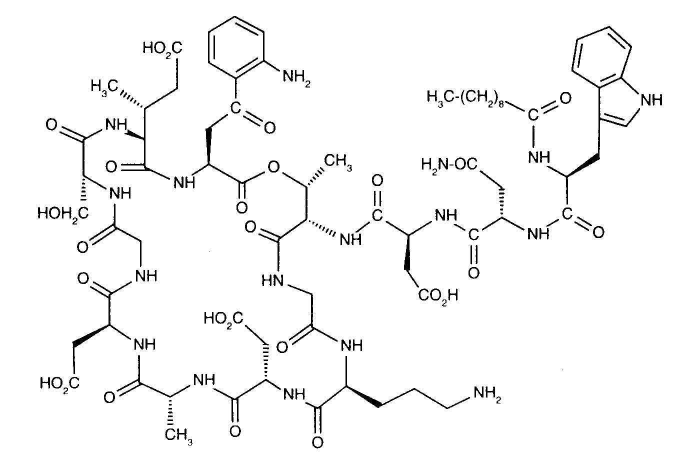
   Structure chimique  

Noms commerciaux   Noms commerciaux     

Les noms commerciaux sont donnés à titre indicatif et la composition en excipients peut être différente selon les pays et selon les laboratoires

Cubicin Allemagne, Argentine, Australie, Autriche, Canada, Chili, Colombie, Danemark, Espagne, Etats Unis d’Amérique, Finlande, France, Grande Bretagne, Grèce, Hongrie, Inde, Irlande, Islande, Italie, Japon, Malaisie, Mexique, Norvège, Nouvelle Zélande, Pays bas, Pologne, Portugal, Roumanie, Suède, Suisse, Turquie, Vénézuela
Daptomicina Argentine, Espagne, Italie
Daptomicine Allemagne, Finlande, Grande Bretagne, Hongrie, Norvège
Exfuno Brésil, Chili
Stenkivar Nigeria
Trisk Brésil
Bibliographie   injectable   Bibliographie : Daptomycin  
Type Source
1937 Revue Lai JJ, Brodeur SK.
Physical and chemical stability of daptomycin with nine medications.
Ann Pharmacotherapy 2004 ; 38: 1612-1616.
2247 Revue Chan P, Heatherly K, Kupiec T.C, Trissel L.A.
Compatibility of caspofungin acetate injection with other drugs during simulated Y-site coadministration.
Int J Pharm Compound 2008 ; 12, 3: 276-278.
2262 Revue Brammer MK, Chan P, Heatherly K, Trusley C, Kupiec TC, Trissel LA, Psathas PA, Gilmor T, Schaufelberger D.
Compatibility of doripenem with other drugs during simulated Y-site administratioN
Am J Health-Syst Pharm 2008 ; 65: 1261-1265.
2271 Laboratoire Daptomycine (Cubicin®) Résumé des caractéristiques du produits
Novartis 2006
3122 Revue Dotson B, Lynn S, Savakis K, Churchwell MD.
Physical compatibility of 4% sodium citrate with selected antimicrobial agents.
Am J Health-Syst Pharm 2010 ; 67: 1195-1198.
3218 Revue Peyro Saint Paul L, Albessard F, Gaillard C, Debruyn D, Ryckelynck J Ph, Antoine Coquerel, Lobbedez T
Daptomycin Compatibility in Peritoneal Dialysis Solutions
Perit Dial Int 2011 ; 31: 492-495.
3439 Revue Parra M.A, Campanero M.A, S?daba B, Irigoyen A, Garc?a-L?pez L,Fernandez-Reyes M.J, Ramon Azanza J.
Effect of Glucose Concentration on the Stability of Daptomycin in Peritoneal Solutions.
Perit Dial Int 2013 ; 33:458-461
3665 Revue Ortega R, Salmer?n-Garc?a A, Cabeza J, Capit?n-Vallvey L.F, Navas N.
Stability of daptomycin 5 mg/mL and heparin sodium 100 units/mL combined in lactated Ringer’s injection and stored in polypropylene syringes at 4 and -20°C.
Am J Health-Syst Pharm 2014 ; 71:956-959
3827 Poster Ghazi I.M, Hamada Y, Nicolau D.P.
Compatibility of tedizolid phosphate with selected intravenous drugs via simulated Y-site conditions.
ASHP Midyear 2015
3828 Poster Thabit A.K, Hamada Y, Nicolau D.P.
Ceftozolane/tazobactam physical compatibility during simulated Y-site administration.
ASHP Midyear 2015
3829 Poster So W, Kim L, Thabit A.K, Nicolau D.P, Kuti J.L.
Compatibility of isavunazonium sulfate during simulated Y-site administration.
ASHP Midyear 2015
3976 Revue Du Repaire T, Vigne P, Guedon A, Gauthier-Villano L, Bertault Peres P, Pourroy B.
Visual compatibility of blinatumomab with selected co-administrated drugs during simulated Y-site administration.
Am J Health-Syst Pharm 2017 ; 74,16 : 1217-1218
4055 Revue Monogue M, Almarzoky Abuhussain S, Kuti J, Nicolau D.
Physical compatibility of fosfomycin for injection with select i.v. drugs during simulated Y-site administration.
Am J Health-Syst Pharm 2018 , 75, 1:36-44
4074 Revue Ferrandez J, Sanchez R, Diaz D, Diaz M, Estevan M, Garcia T.
Stability of daptomycin reconstituted vials and infusion solutions.
EJHP 2018 ; 25: 107-110.
4145 Revue Asempa T.E, Avery L.M, Kidd J.M, Kuti J.L, Nicolau D.P.
Physical compatibility of plazomicin with select i.v. drugs during simulated Y-site administration.
Am J Health-Syst Pharm 2018 ;75,14:1048-1056
4254 Revue D'Huart E, Vigneron J, Demoré B.
Physical Compatibility of Intravenous Drugs Commonly Used in Intensive Care Units: An Observational Study and Physical Compatibility Laboratory Tests on Anti-Infective Drugs
Pharmaceutical Technology in Hospital Pharmacy 2019 ;4,1:29-40
4380 Laboratoire Posaconazole (Noxafil®) - Summary of Product Characteristics
Merck Sharp & Dohme Limited 2019
4528 Revue Lu J, Liu Q, Kupiec T, Vail H, Lunch L, Fam D, Vu N.
Physical Compatibility of Cefiderocol with Selected Intravenous Drugs During Simulated Y-site Administration.
Int J Pharm Compound 2021 ;25,1:52-61
4801 Revue Ruiz V, Yuwei Shen Y, Abouelhassan Y, Fouad A, Nicolau D, Kuti J.
Physical compatibility of sulbactam/durlobactam with select intravenous drugs during simulated Y-site administration.
Am J Health-Syst Pharm 2024 ;51,1:
4936 Revue Chow K.M, Wo S.K, So S.W.Y, Cheng P.M.S, Zhou K.R, Lim W.L, Zuo J.Z, Li P.K.T.
Stability of Daptomycin in Dextrose and Icodextrin-Based Peritoneal Dialysis Solutions.
Can J Anesth 2025

  Mentions Légales