Last update :
27/04/2026
Antibiotic   Daptomycin  
injection
Stability in solutions Stability of mixtures Factors which affect stability Compatibility Route of administration References pdf
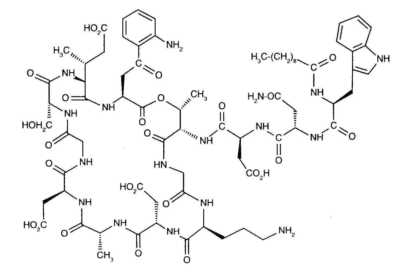
   Chemical structure  

Tradename   Tradename     

Trade names are indicative and excipients composition can be different depending on the country and manufacturers

Cubicin Argentina, Australia, Austria, Canada, Chile, Colombia, Denmark, Finland, France, Germany, Great Britain, Greece, Hungary, Iceland, India, Ireland, Italy, Japan, Malaysia, Mexico, Netherlands, New Zealand, Norway, Poland, Portugal, Romania, Spain, Sweden, Switzerland, Turkey, United States of America, Venezuela
Daptomicina Argentina, Italy, Spain
Daptomicine Finland, Germany, Great Britain, Hungary, Norway
Exfuno Brazil, Chile
Stenkivar Nigeria
Trisk Brazil
References   injection   References : Daptomycin  
Type Publication
1937 Journal Lai JJ, Brodeur SK.
Physical and chemical stability of daptomycin with nine medications.
Ann Pharmacotherapy 2004 ; 38: 1612-1616.
2247 Journal Chan P, Heatherly K, Kupiec T.C, Trissel L.A.
Compatibility of caspofungin acetate injection with other drugs during simulated Y-site coadministration.
Int J Pharm Compound 2008 ; 12, 3: 276-278.
2262 Journal Brammer MK, Chan P, Heatherly K, Trusley C, Kupiec TC, Trissel LA, Psathas PA, Gilmor T, Schaufelberger D.
Compatibility of doripenem with other drugs during simulated Y-site administratioN
Am J Health-Syst Pharm 2008 ; 65: 1261-1265.
2271 Manufacturer Daptomycine (Cubicin®) Résumé des caractéristiques du produits
Novartis 2006
3122 Journal Dotson B, Lynn S, Savakis K, Churchwell MD.
Physical compatibility of 4% sodium citrate with selected antimicrobial agents.
Am J Health-Syst Pharm 2010 ; 67: 1195-1198.
3218 Journal Peyro Saint Paul L, Albessard F, Gaillard C, Debruyn D, Ryckelynck J Ph, Antoine Coquerel, Lobbedez T
Daptomycin Compatibility in Peritoneal Dialysis Solutions
Perit Dial Int 2011 ; 31: 492-495.
3439 Journal Parra M.A, Campanero M.A, S?daba B, Irigoyen A, Garc?a-L?pez L,Fernandez-Reyes M.J, Ramon Azanza J.
Effect of Glucose Concentration on the Stability of Daptomycin in Peritoneal Solutions.
Perit Dial Int 2013 ; 33:458-461
3665 Journal Ortega R, Salmer?n-Garc?a A, Cabeza J, Capit?n-Vallvey L.F, Navas N.
Stability of daptomycin 5 mg/mL and heparin sodium 100 units/mL combined in lactated Ringer’s injection and stored in polypropylene syringes at 4 and -20°C.
Am J Health-Syst Pharm 2014 ; 71:956-959
3827 Poster Ghazi I.M, Hamada Y, Nicolau D.P.
Compatibility of tedizolid phosphate with selected intravenous drugs via simulated Y-site conditions.
ASHP Midyear 2015
3828 Poster Thabit A.K, Hamada Y, Nicolau D.P.
Ceftozolane/tazobactam physical compatibility during simulated Y-site administration.
ASHP Midyear 2015
3829 Poster So W, Kim L, Thabit A.K, Nicolau D.P, Kuti J.L.
Compatibility of isavunazonium sulfate during simulated Y-site administration.
ASHP Midyear 2015
3976 Journal Du Repaire T, Vigne P, Guedon A, Gauthier-Villano L, Bertault Peres P, Pourroy B.
Visual compatibility of blinatumomab with selected co-administrated drugs during simulated Y-site administration.
Am J Health-Syst Pharm 2017 ; 74,16 : 1217-1218
4055 Journal Monogue M, Almarzoky Abuhussain S, Kuti J, Nicolau D.
Physical compatibility of fosfomycin for injection with select i.v. drugs during simulated Y-site administration.
Am J Health-Syst Pharm 2018 , 75, 1:36-44
4074 Journal Ferrandez J, Sanchez R, Diaz D, Diaz M, Estevan M, Garcia T.
Stability of daptomycin reconstituted vials and infusion solutions.
EJHP 2018 ; 25: 107-110.
4145 Journal Asempa T.E, Avery L.M, Kidd J.M, Kuti J.L, Nicolau D.P.
Physical compatibility of plazomicin with select i.v. drugs during simulated Y-site administration.
Am J Health-Syst Pharm 2018 ;75,14:1048-1056
4254 Journal D'Huart E, Vigneron J, Demoré B.
Physical Compatibility of Intravenous Drugs Commonly Used in Intensive Care Units: An Observational Study and Physical Compatibility Laboratory Tests on Anti-Infective Drugs
Pharmaceutical Technology in Hospital Pharmacy 2019 ;4,1:29-40
4380 Manufacturer Posaconazole (Noxafil®) - Summary of Product Characteristics
Merck Sharp & Dohme Limited 2019
4528 Journal Lu J, Liu Q, Kupiec T, Vail H, Lunch L, Fam D, Vu N.
Physical Compatibility of Cefiderocol with Selected Intravenous Drugs During Simulated Y-site Administration.
Int J Pharm Compound 2021 ;25,1:52-61
4801 Journal Ruiz V, Yuwei Shen Y, Abouelhassan Y, Fouad A, Nicolau D, Kuti J.
Physical compatibility of sulbactam/durlobactam with select intravenous drugs during simulated Y-site administration.
Am J Health-Syst Pharm 2024 ;51,1:
4936 Journal Chow K.M, Wo S.K, So S.W.Y, Cheng P.M.S, Zhou K.R, Lim W.L, Zuo J.Z, Li P.K.T.
Stability of Daptomycin in Dextrose and Icodextrin-Based Peritoneal Dialysis Solutions.
Can J Anesth 2025

  Mentions Légales