zadnja posodobitev :
25/03/2026
Antikoagulant   Bivalirudin  
Brizgalka
Stabilnost raztopine Stabilnost mešanice Faktorji, ki vplivajo na stabilnost Kompatibilnost način aplikacije Viri pdf
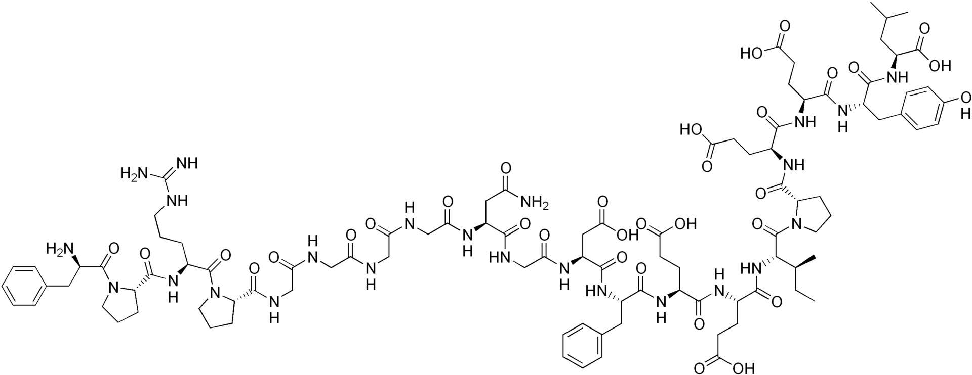
   Kemična formula  

Lastniško ime   Lastniško ime     

Sestava pomožnih snovi je med paralelami lahko različna

Amuprux Argentina
Angiomax Avstralija, Čile, Kanada, nova Zelandija, Peru, Venezuela, Združene države Amerike
Angiox Avstrija, Danska, Finska, Grčija, Islandija, Italija, Madžarska, Nizozemska, Norveška, Poljska, Romunija, Slovenija, Španija, Velika Britanija, Združene države Amerike
Bivalirudin Belgija, Danska, Finska, Nemčija, Slovenija, Švedska, Velika Britanija
Bivalirudina Italija, Španija
Stabilnost raztopine   Brizgalka   Stabilnost raztopine : Bivalirudin     
Vsebnik Topilo Koncentracija Temperatura Shranjevanje Trajanje stabilnosti Viri
Steklo Voda za injekcije 50 mg/ml 2-8°C Nedoločeno
24 čas
3539
Podatki stabilnosti proizvajalca

Nedoločeno Natrijev klorid 0,9% 5 mg/ml 25°C Nedoločeno
24 čas
3539
Podatki stabilnosti proizvajalca

Nedoločeno Glukoza 5% 5 mg/ml 25°C Nedoločeno
24 čas
3539
Podatki stabilnosti proizvajalca


  Mentions Légales