Poslední aktualizace :
25/03/2026
Antikoagulans   Bivalirudin  
injekce
Stabilita roztoků Stabilita směsí Faktory ovlivňující stabilitu Kompatibilita Způsoby aplikace Odkazy pdf
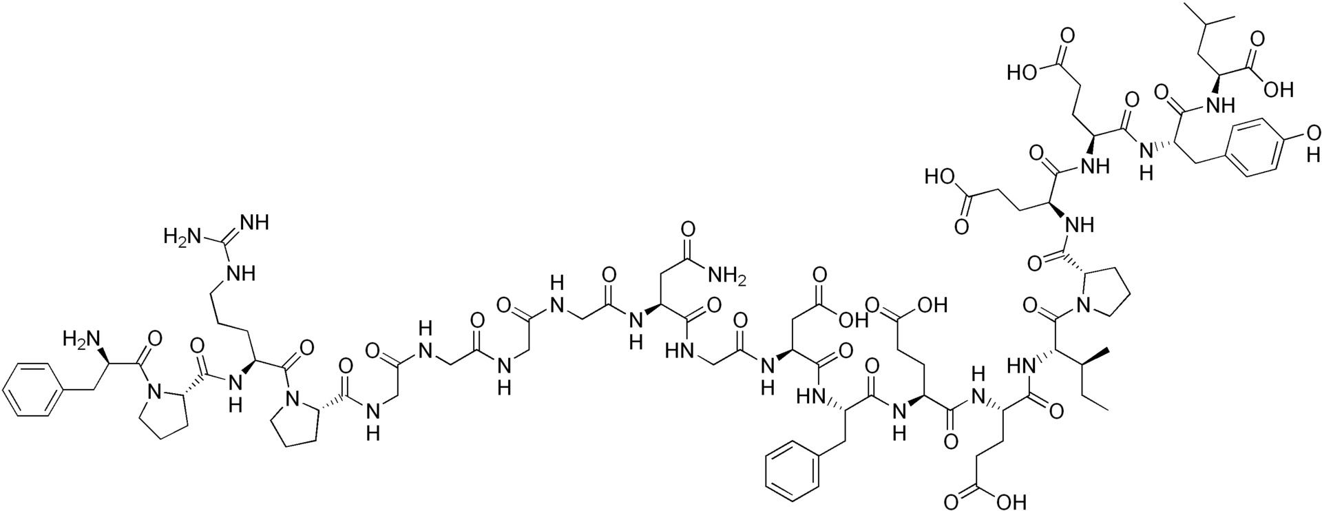
   Chemický vzorec  

Obchodní název   Obchodní název     

Trade names are indicative and excipients composition can be different depending on the country and manufacturers

Amuprux Argentina
Angiomax Austrálie, Chile, Kanada, nový Zéland, Peru, USA, Venezuela
Angiox äpanÏlsko, Dánsko, Finsko, Island, Itálie, MaÔarsko, Nizozemsko, Norsko, Polsko, Rakousko, Rumunsko, Slovinsko, USA, Velká Británie, ÿecko
Bivalirudin Belgie, Dánsko, Finsko, NÏmecko, Slovinsko, Švédsko, Velká Británie
Bivalirudina äpanÏlsko, Itálie
Stabilita roztoků   injekce   Stabilita roztoků : Bivalirudin     
Obal RozpouötÏdlo Koncentrace Teplota Uchovávání Trvání stability Odkazy
Sklo Voda pro injekci 50 mg/ml 2-8°C Nespecifikováno
24 Hodina
3539
Údaje o stabilitě od výrobce

Nespecifikováno Chlorid sodný 0,9% 5 mg/ml 25°C Nespecifikováno
24 Hodina
3539
Údaje o stabilitě od výrobce

Nespecifikováno GlukÛza 5% 5 mg/ml 25°C Nespecifikováno
24 Hodina
3539
Údaje o stabilitě od výrobce


  Mentions Légales