Ultimo aggiornamento :
25/03/2026
Anticoagulante   Bivalirudin  
Iniezione
Stabilità in soluzione Stabilità in miscela Fattori che influenzano la stabilità Compatibilità metodo di iniezione Bibliografia pdf
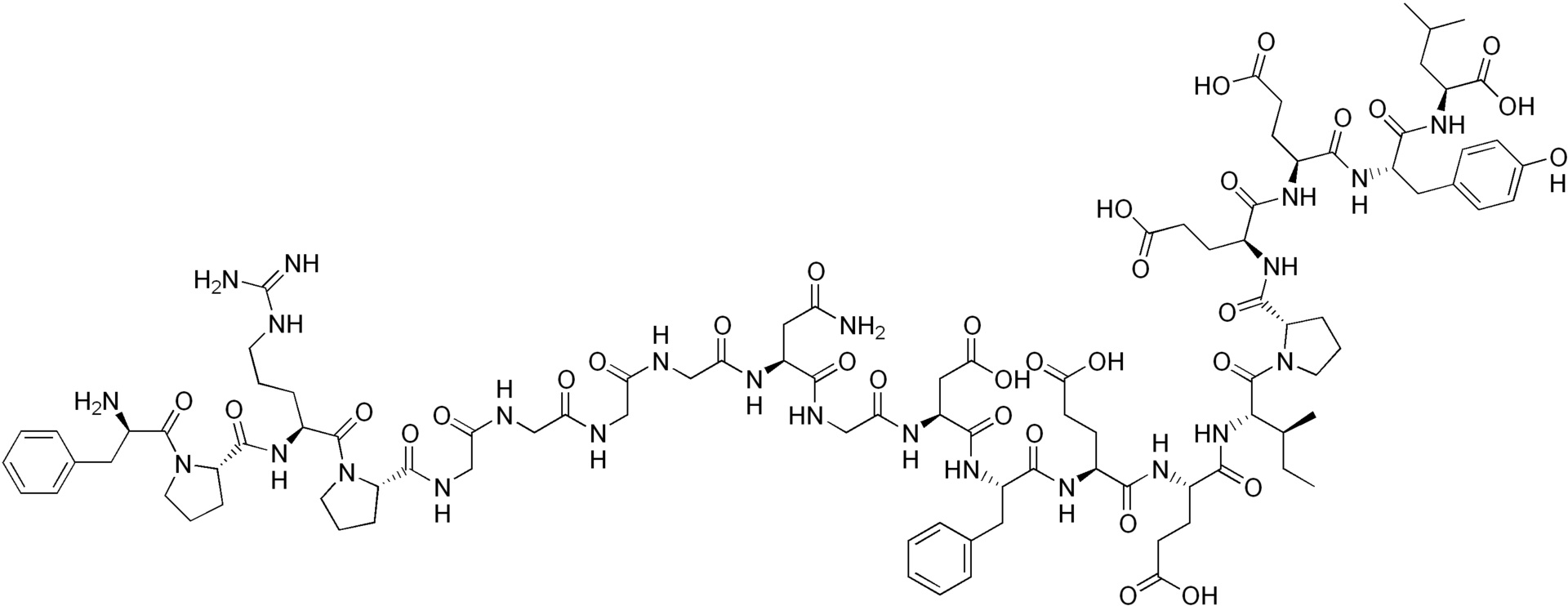
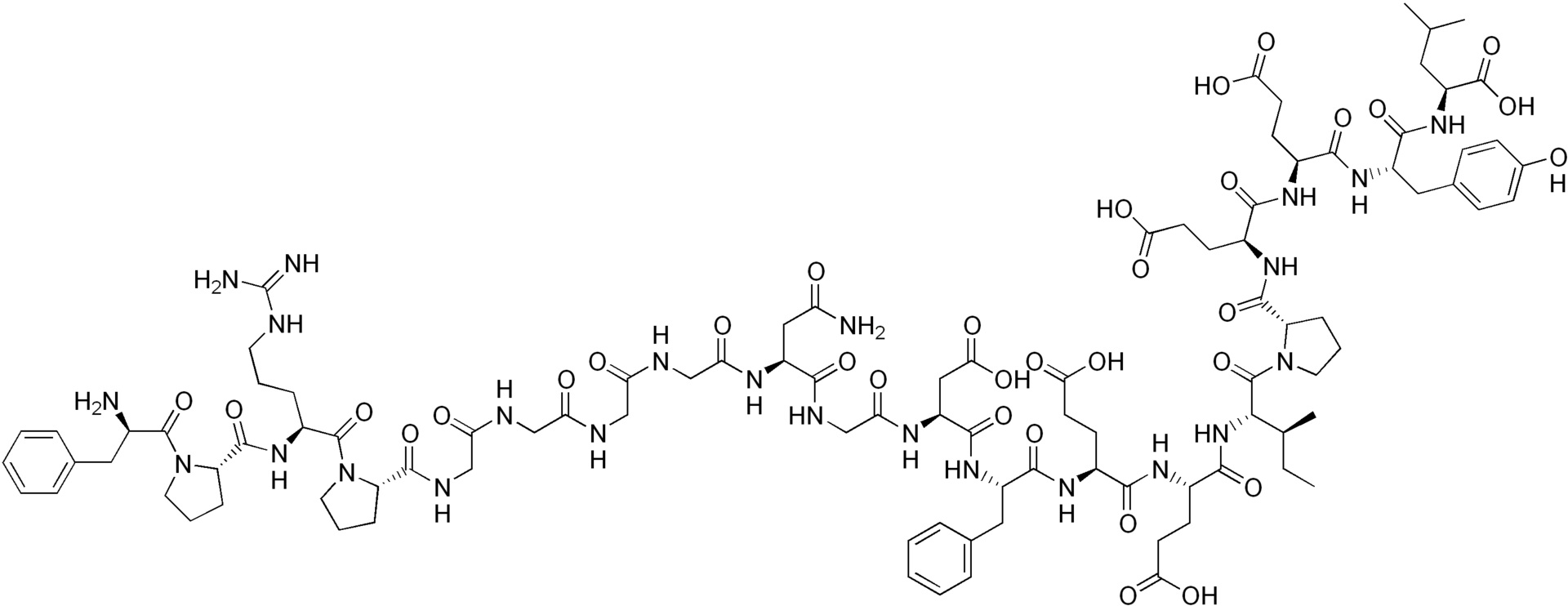
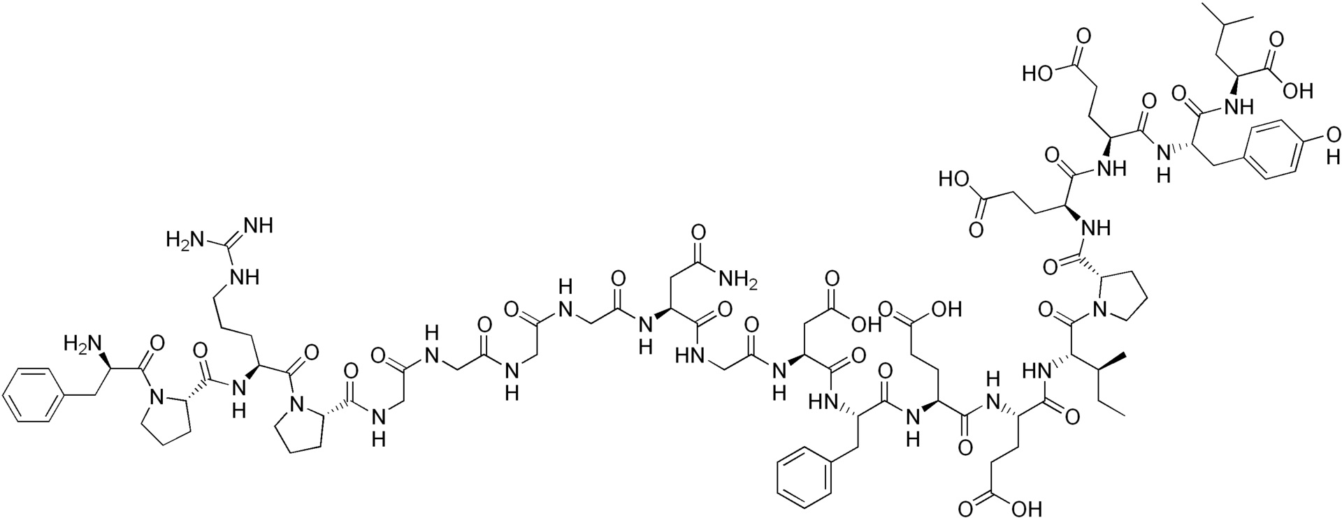
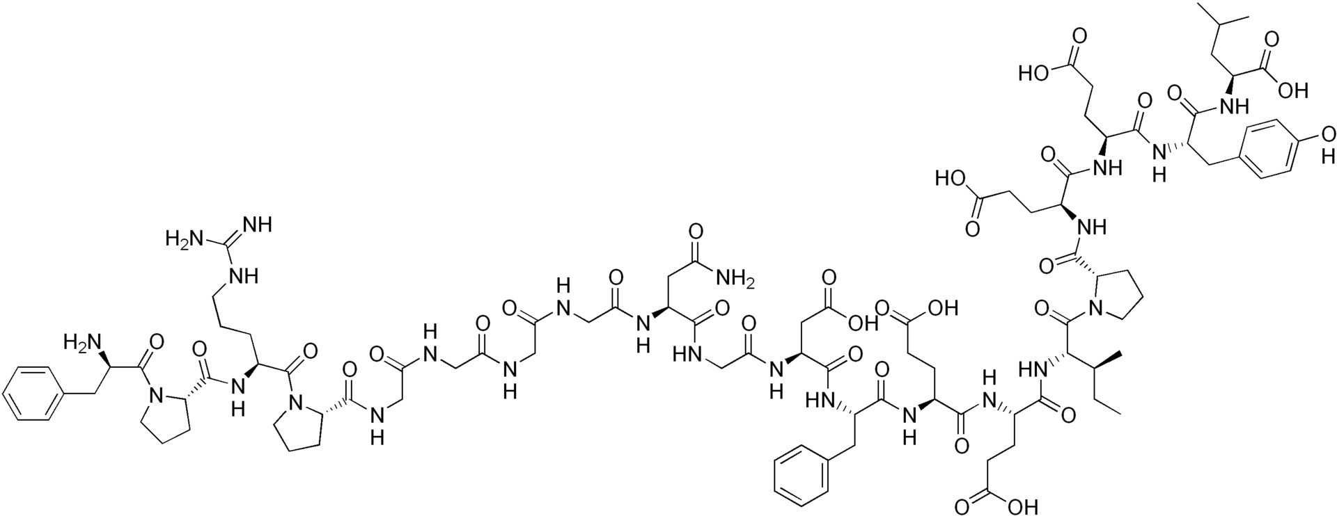
   Struttura chimica  

Nome commerciale   Nome commerciale     

Trade names are indicative and excipients composition can be different depending on the country and manufacturers

Amuprux Argentina
Angiomax Australia, Canada, Chile, nuova Zelanda, Perù, Stati Uniti d’America, Venezuela
Angiox Austria, Danimarca, Finlandia, Gran Bretagna, Grecia, Islanda, Italia, Norvegia, Paesi Bassi, Polonia, Romania, Slovenia, Spagna, Stati Uniti d’America, Ungheria
Bivalirudin Belgio, Danimarca, Finlandia, Germania, Gran Bretagna, Slovenia, Svezia
Bivalirudina Italia, Spagna
Stabilità in soluzione   Iniezione   Stabilità in soluzione : Bivalirudin     
contenitore Solvente Concentrazione Temperatura Conservazione Durata della stabilità Bibliografia
Vetro Acqua per preparato iniettabile 50 mg/ml 2-8°C Non precisata
24 Ora
3539
Dati di stabilità del produttore

Non precisato Cloruro di sodio 0,9% 5 mg/ml 25°C Non precisata
24 Ora
3539
Dati di stabilità del produttore

Non precisato Glucosio 5% 5 mg/ml 25°C Non precisata
24 Ora
3539
Dati di stabilità del produttore


  Mentions Légales