Последно актуализиране :
25/03/2026
Антикоагулант   Bivalirudin  
Инжекция/Инжекционен
Стабилност на разтвори Стабилност на смеси Фактори, повлияващи стабилността Съвместимост Път на въвеждане Библиография Pdf
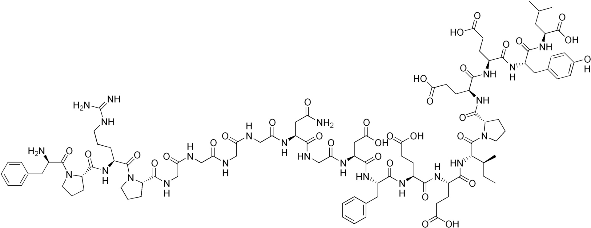
   Химична структура  

Търговско наименование   Търговско наименование     

Търговските имена са примерни и съставът на помощните вещества може да бъде различен в зависимост от държавата и лабораториите

Amuprux Аржентина
Angiomax Австралия, Венецуела, Канада, нова Зеландия, Перу, Съединени Американски щати / САЩ, Чили
Angiox Австрия, Великобритания, Гърция, Дания, Исландия, Испания, Италия, Норвегия, Полша, Румъния, Словения, Съединени Американски щати / САЩ, Унгария, Финландия, Холандия
Bivalirudin Белгия, Великобритания, Германия, Дания, Словения, Финландия, Швеция
Bivalirudina Испания, Италия
Стабилност на разтвори   Инжекция/Инжекционен   Стабилност на разтвори : Bivalirudin     
Контейнер Разтворител Концентрация Температура Съхранение Продължителност на стабилността Библиография
Стъкло Вода за инжекции 50 mg/ml 2-8°C Не е уточнено
24 Час
3539
Данни за стабилност на производителя

Не е уточнено Sodium chloride 0,9% 5 mg/ml 25°C Не е уточнено
24 Час
3539
Данни за стабилност на производителя

Не е уточнено Glucose 5% 5 mg/ml 25°C Не е уточнено
24 Час
3539
Данни за стабилност на производителя


  Mentions Légales