Laatste update :
25/03/2026
Anticoagulans   Bivalirudin  
injecteerbaar geneesmiddel
Stabiliteit in oplossing Stabiliteit in mengsels Factoren die de stabiliteit beïnvloeden Verenigbaarheden Toedieningswijze Literatuur pdf
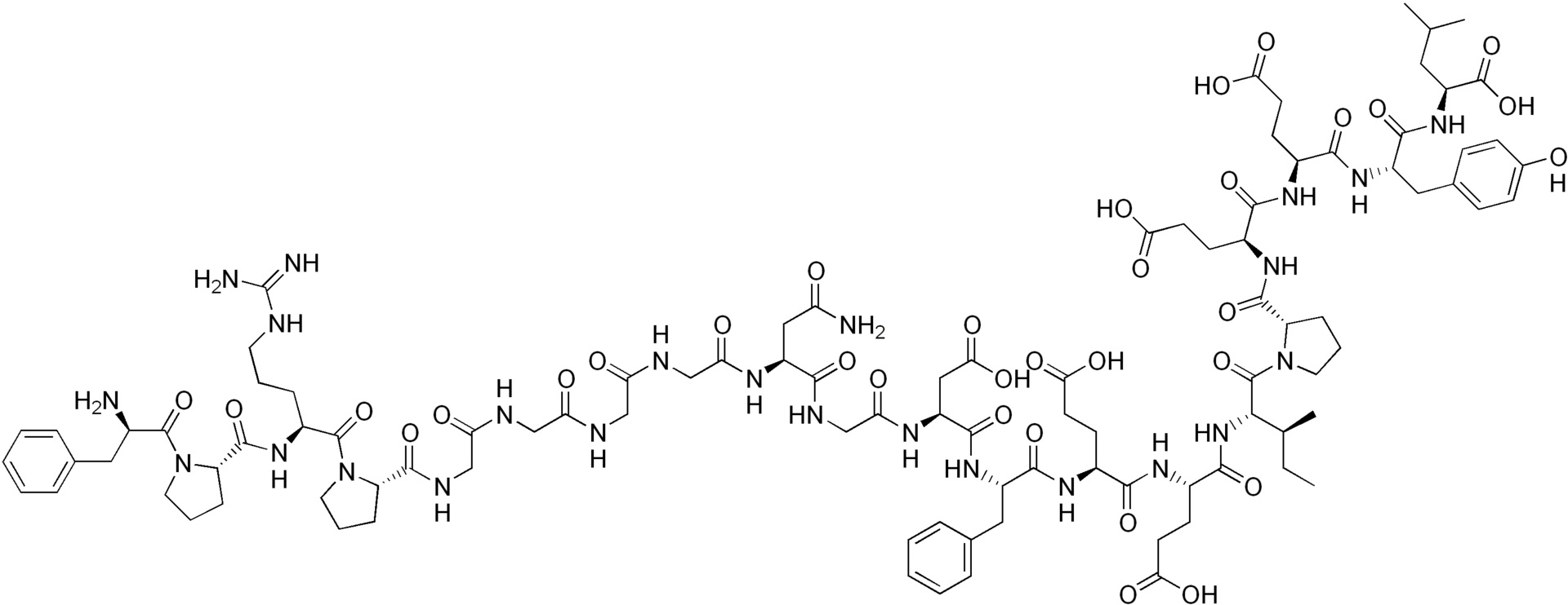
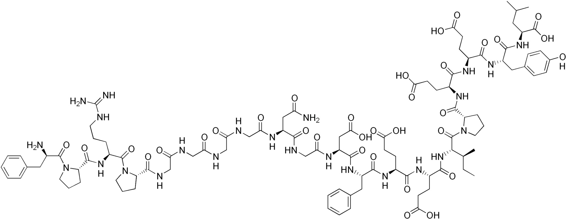
   Molecuulstructuur  

Merknamen in verschillende landen   Merknamen in verschillende landen     

Handelsnamen zijn slechts een indicatie; de samenstelling van hulpstoffen kan per land variëren afhankelijk van de fabrikant

Amuprux Argentinië
Angiomax Australië, Canada, Chili, nieuw Zeeland, Peru, USA, Venezuela
Angiox Denemarken, Finland, Griekenland, Groot Britannië, Hongarije, IJsland, Italië, Nederland, Noorwegen, Oostenrijk, Polen, Roemenië, Slovenië, Spanje, USA
Bivalirudin België, Denemarken, Duitsland, Finland, Groot Britannië, Slovenië, Zweden
Bivalirudina Italië, Spanje
Stabiliteit in oplossing   injecteerbaar geneesmiddel   Stabiliteit in oplossing : Bivalirudin     
Verpakking Oplosmiddel Concentratie Temperatuur Bewaring Duur van de stabiliteit Literatuur
Glas Water voor injectie 50 mg/ml 2-8°C Niet gespecificeerd
24 Uur
3539
Stabiliteitsgegevens van de fabrikant

Niet gespecificeerd Natriumchloride 0,9% 5 mg/ml 25°C Niet gespecificeerd
24 Uur
3539
Stabiliteitsgegevens van de fabrikant

Niet gespecificeerd Glucose 5% 5 mg/ml 25°C Niet gespecificeerd
24 Uur
3539
Stabiliteitsgegevens van de fabrikant


  Mentions Légales