Dernière mise à jour :
17/12/2025
Anticoagulant   Bivalirudin  
injectable
Stabilité des solutions Stabilité en mélange Facteur influençant la stabilité Compatibilités Voie d’administration Bibliographie pdf
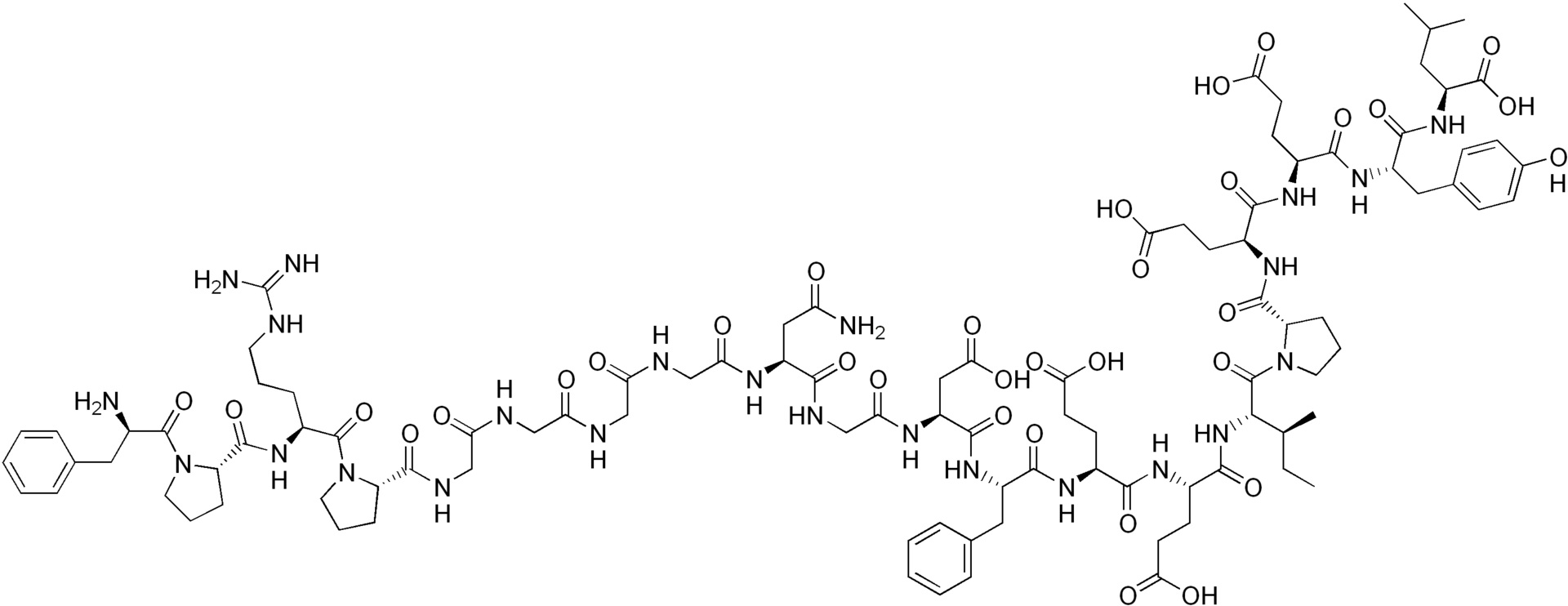
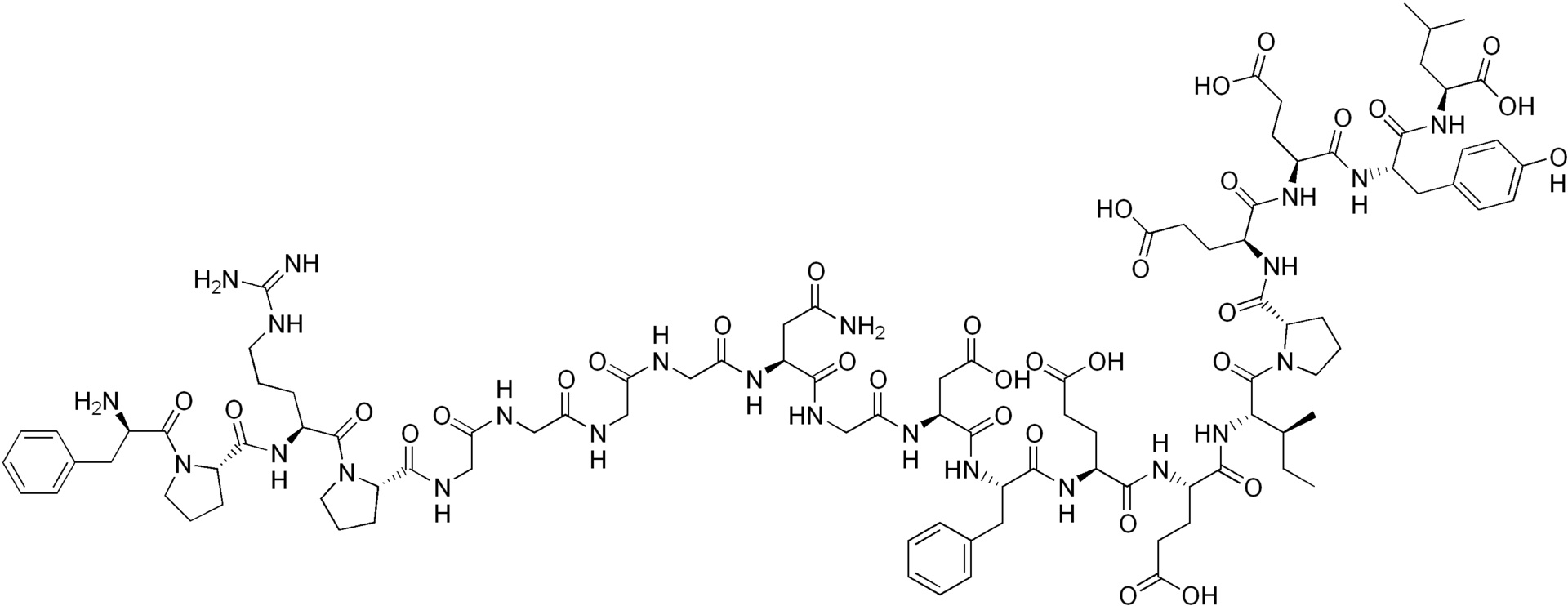
   Structure chimique  

Noms commerciaux   Noms commerciaux     

Les noms commerciaux sont donnés à titre indicatif et la composition en excipients peut être différente selon les pays et selon les laboratoires

Amuprux Argentine
Angiomax Australie, Canada, Chili, Etats Unis d’Amérique, Nouvelle Zélande, Pérou, Vénézuela
Angiox Autriche, Danemark, Espagne, Etats Unis d’Amérique, Finlande, Grande Bretagne, Grèce, Hongrie, Islande, Italie, Norvège, Pays bas, Pologne, Roumanie, Slovénie
Bivalirudin Allemagne, Belgique, Danemark, Finlande, Grande Bretagne, Slovénie, Suède
Bivalirudina Espagne, Italie
Stabilité des solutions   injectable   Stabilité des solutions : Bivalirudin     
Contenant Solvant Concentration Température Conservation Durée de stabilité Bibliographie
Verre Eau pour préparation injectable 50 mg/ml 2-8°C Non précisée
24 Heure
3539
Données de stabilité du fabricant

Non précisé Chlorure de sodium 0,9% 5 mg/ml 25°C Non précisée
24 Heure
3539
Données de stabilité du fabricant

Non précisé Glucose 5% 5 mg/ml 25°C Non précisée
24 Heure
3539
Données de stabilité du fabricant


  Mentions Légales