Última actualización :
27/04/2026
Antiepiléptico   Fosphenytoin sodium  
Inyectables
Estabilidad en solucion Estabilidad en mezcla Factores que influyen sobre la estabilidad Compatibilidades método de inyección Bibliografía pdf
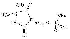
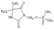
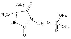
   Estructura química  

Nombre comercial   Nombre comercial     

Los nombres comerciales son orientativos y los excipientes de la formulación pueden ser distintos dependiendo del país y del laboratorio fabricante.

Cerebryx Canadá, Estados Unidos de América
Fosphen India
Fostoin Japón
Pro - Epanutin Austria, Dinamarca, Finlandia, Gran Bretaña, Irlanda, Islandia, Luxemburgo, Noruega, Países Bajos, Suecia
Prodilantin Austria, Dinamarca, Estados Unidos de América, Finlandia, Francia, Grecia, Hungría, Irlanda, Islandia, Japón, Países Bajos, Polonia
Sesquient Estados Unidos de América

Factores que influyen sobre la estabilidad   Inyectables   Factores que influyen sobre la estabilidad : Fosphenytoin sodium        
Ausencia de datos

  Mentions Légales