Zadnji put ažurirano :
27/04/2026
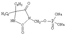
antiepileptik   Fosphenytoin sodium  
injekcija
Stabilizacija rješenja Stabilnost mješavine Stabilizacijski faktor Kompatibilnosti način davanja lijeka Bibliografija pdf
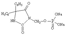
   Kemijska struktura  

Nekomercijalni   Nekomercijalni     

Zaštićeni nazivi su indikativni i sastav ekscipijensa može biti različit ovisno o državi i laboratorijima

Cerebryx Kanada, S A D
Fosphen Indija
Fostoin Japan
Pro - Epanutin Austrija, Danska, Finska, Irska, Island, Luksemburg, Nizozemska, Norveška, Švedska, Velika Britanija
Prodilantin Austrija, Danska, Finska, Francuska, Grčka, Irska, Island, Japan, Madžarska, Nizozemska, Poljska, S A D
Sesquient S A D

Stabilizacijski faktor   injekcija   Stabilizacijski faktor : Fosphenytoin sodium        
bez podataka

  Mentions Légales