Utolsó frissítés :
27/04/2026
Antiepileptikum   Fosphenytoin sodium  
Injekció
Az oldatok stabilitása A keverékek stabilitása Stabilitást befolyásoló tényezők Kompatibilitás Az alkalmazás módja Irodalom pdf
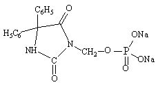
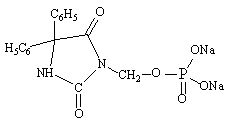
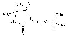
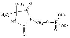
   Kémiai szerkezet   

Kereskedelmi név   Kereskedelmi név     

A kereskedelmi név meghatározó jelentőségű: a készítmények összetétele országonként, előállítóként eltérő lehet

Cerebryx Amerikai Egyesült Államok, Kanada
Fosphen India
Fostoin Japán
Pro - Epanutin Ausztria, Dánia, Finnország, Hollandia, Írország, Izland, Luxemburg, Nagy-Britannia, Norvégia, Svédország
Prodilantin Amerikai Egyesült Államok, Ausztria, Dánia, Finnország, Franciaország, Görögország, Hollandia, Írország, Izland, Japán, Lengyelország, Magyarország
Sesquient Amerikai Egyesült Államok

Stabilitást befolyásoló tényezők   Injekció   Stabilitást befolyásoló tényezők : Fosphenytoin sodium        
Hiányzó adat

  Mentions Légales