Poslední aktualizace :
27/04/2026
Priešepilepsinis vaistas   Fosphenytoin sodium  
Įpurškimas
Tirpalų stabilumas Mišinių stabilumas Stabilumą lemiantys veiksniai Suderinamumas Leidimo būdai Bibliografija pdf
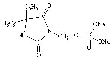
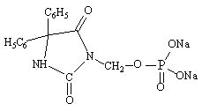
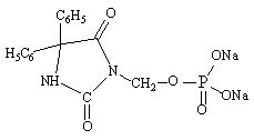
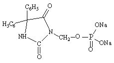
   Cheminė sandara  

Prekinis pavadinimas   Prekinis pavadinimas     

Trade names are indicative and excipients composition can be different depending on the country and manufacturers

Cerebryx Jungtinės Amerikos Valstijos, Kanada
Fosphen Indija
Fostoin Japonija
Pro - Epanutin Airija, Austrija, Danija, Didžioji Britanija, Islandija, Liuksemburgas, Norvegija, Olandija, Suomija, Švedija
Prodilantin Airija, Austrija, Danija, Graikija, Islandija, Japonija, Jungtinės Amerikos Valstijos, Lenkija, Olandija, Prancūzija, Suomija, Vengrija
Sesquient Jungtinės Amerikos Valstijos

Stabilumą lemiantys veiksniai   Įpurškimas   Stabilumą lemiantys veiksniai : Fosphenytoin sodium        
Nėra duomenų

  Mentions Légales