Ultimele actualizari :
27/04/2026
Antiepileptic   Fosphenytoin sodium  
Injectabil
Stabilitatea in solutie Stabilitatea in amestec Factorii care influenteaza stabilitatea Compatibilitate Microunde Bibliografie pdf
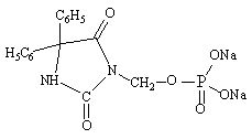
   Formula chimica  

Denumirea comerciala   Denumirea comerciala     

Trade names are indicative and excipients composition can be different depending on the country and manufacturers

Cerebryx Canada, SUA
Fosphen India
Fostoin Japonia
Pro - Epanutin Austria, Danemarca, Finlanda, Irlanda, Islanda, Luxemburg, Marea Britanie, Norvegia, Olanda, Suedia
Prodilantin Austria, Danemarca, Finlanda, Franta, Grecia, Irlanda, Islanda, Japonia, Olanda, Polonia, SUA, Ungaria
Sesquient SUA

Factorii care influenteaza stabilitatea   Injectabil   Factorii care influenteaza stabilitatea : Fosphenytoin sodium        
Absenta de date

  Mentions Légales