Last update :
27/04/2026
Antiepileptic   Fosphenytoin sodium  
injection
Stability in solutions Stability of mixtures Factors which affect stability Compatibility Route of administration References pdf
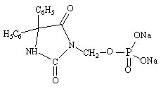
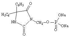
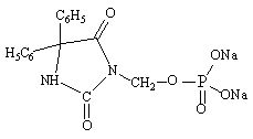
   Chemical structure  

Tradename   Tradename     

Trade names are indicative and excipients composition can be different depending on the country and manufacturers

Cerebryx Canada, United States of America
Fosphen India
Fostoin Japan
Pro - Epanutin Austria, Denmark, Finland, Great Britain, Iceland, Ireland, Luxembourg, Netherlands, Norway, Sweden
Prodilantin Austria, Denmark, Finland, France, Greece, Hungary, Iceland, Ireland, Japan, Netherlands, Poland, United States of America
Sesquient United States of America

Factors which affect stability   injection   Factors which affect stability : Fosphenytoin sodium        
No data

  Mentions Légales