Dernière mise à jour :
27/01/2026
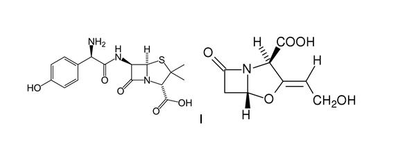
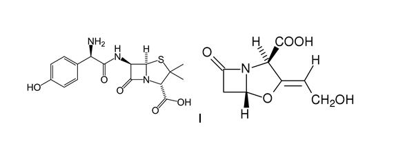
Antibiotique   Amoxicillin sodium / clavulanic acid  
injectable
Solution buvable
Stabilité des solutions Stabilité en mélange Facteur influençant la stabilité Compatibilités Voie d’administration Bibliographie pdf
   Structure chimique  

Noms commerciaux   Noms commerciaux     

Les noms commerciaux sont donnés à titre indicatif et la composition en excipients peut être différente selon les pays et selon les laboratoires

Aktil Hongrie
Amoclan Arabie Saoudite
Amoklavin Turquie
Amoksiklav Pologne
Amoxclav Arabie Saoudite
Amplamox Brésil
Augmentin Arabie Saoudite, Autriche, Belgique, Chili, Emirats Arabes Unis , Equateur, Espagne, France, Grande Bretagne, Grèce, Italie, Pays bas, Pologne, Suisse, Turquie
Betamox Portugal
Clavamox Autriche
Clavicin Malaisie, Vénézuela
Clavulin Brésil
Co-amoxi Suisse
Co-Amoxicillin Suisse
Curam Arabie Saoudite, Nouvelle Zélande
Darzitil Argentine
Dibional Argentine
Julmentin Emirats Arabes Unis
Novamox Brésil
Sulbamox Chili
Tarometin Pologne
Trifamox Argentine, Colombie, Equateur, Mexique

Facteur influençant la stabilité   injectable   Facteur influençant la stabilité : Amoxicillin sodium / clavulanic acid        

  Mentions Légales