Utolsó frissítés :
27/01/2026
Antibiotikum   Amoxicillin sodium / clavulanic acid  
Injekció
belsőleges oldat
Az oldatok stabilitása A keverékek stabilitása Stabilitást befolyásoló tényezők Kompatibilitás Az alkalmazás módja Irodalom pdf
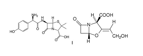
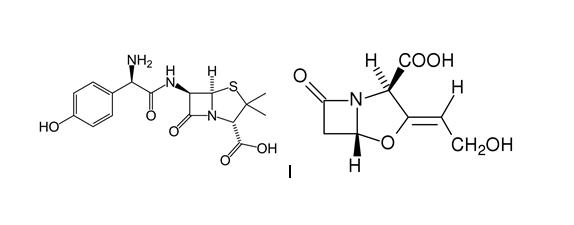
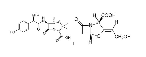
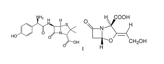
   Kémiai szerkezet   

Kereskedelmi név   Kereskedelmi név     

A kereskedelmi név meghatározó jelentőségű: a készítmények összetétele országonként, előállítóként eltérő lehet

Aktil Magyarország
Amoclan Szaúd-Arábiában
Amoklavin Törökország
Amoksiklav Lengyelország
Amoxclav Szaúd-Arábiában
Amplamox Brazília
Augmentin Ausztria, Belgium, Chile, Ecuador, Egyesült Arab Emírségek, Franciaország, Görögország, Hollandia, Lengyelország, Nagy-Britannia, Olaszország, Spanyolország, Svájc, Szaúd-Arábiában, Törökország
Betamox Portugália
Clavamox Ausztria
Clavicin Malaysia, Venezuela
Clavulin Brazília
Co-amoxi Svájc
Co-Amoxicillin Svájc
Curam Szaúd-Arábiában, új-Zéland
Darzitil Argentína
Dibional Argentína
Julmentin Egyesült Arab Emírségek
Novamox Brazília
Sulbamox Chile
Tarometin Lengyelország
Trifamox Argentína, Colombia, Ecuador, Mexikó

Stabilitást befolyásoló tényezők   Injekció   Stabilitást befolyásoló tényezők : Amoxicillin sodium / clavulanic acid        

  Mentions Légales