Ostatnia aktualizacja :
27/01/2026
Antybiotyk   Amoxicillin sodium / clavulanic acid  
Injekcje
Roztwór doustny
Trwałość roztworów Trwałość w mieszaninie Czynnik wpływający na trwałość Zgodność Sposób podania Bibliografia pdf
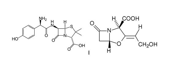
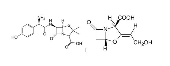
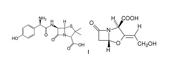
   Struktura chemiczna  

Nazwa handlowa   Nazwa handlowa     

Trade names are indicative and excipients composition can be different depending on the country and manufacturers

Aktil Węgry
Amoclan Arabia Saudyjska
Amoklavin Turcja
Amoksiklav Polska
Amoxclav Arabia Saudyjska
Amplamox Brazylia
Augmentin Arabia Saudyjska, Austria, Belgia, Chile, Ekwador, Francja , Grecja, Hiszpania, Holandia, Polska, Szwajcaria, Turcja, Wielka Brytania, Włochy, Zjednoczone Emiraty Arabskie
Betamox Portugalia
Clavamox Austria
Clavicin Malezja, Wenezuela
Clavulin Brazylia
Co-amoxi Szwajcaria
Co-Amoxicillin Szwajcaria
Curam Arabia Saudyjska, nowa Zelandia
Darzitil Argentyna
Dibional Argentyna
Julmentin Zjednoczone Emiraty Arabskie
Novamox Brazylia
Sulbamox Chile
Tarometin Polska
Trifamox Argentyna, Ekwador, KolumbiaKolumbia, Meksyk

Czynnik wpływający na trwałość   Injekcje   Czynnik wpływający na trwałość : Amoxicillin sodium / clavulanic acid        

  Mentions Légales