Senaste uppdateringen :
27/01/2026
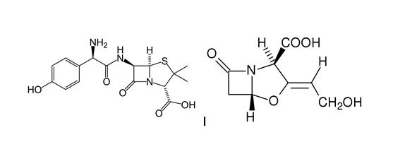
Antibiotikum   Amoxicillin sodium / clavulanic acid  
injektion
Oral lösning
Lösningars stabilitet Stabilitet i blandningar Faktorer som påverkar stabiliteten Kompatibilitet Administreringssätt Hänvisningar pdf
   Molekylstruktur  

Varunamn   Varunamn     

Angivna handelsnamn på läkemedel är enbart vägledande då formulering inklusive hjälpämnen kan variera mellan länder och tillverkare

Aktil Ungern
Amoclan Saudi-Arabien
Amoklavin Turkiet
Amoksiklav Polen
Amoxclav Saudi-Arabien
Amplamox Brasilien
Augmentin Belgien, Chile, Ecuador, Förenade Arabemiraten, Frankrike, Grekland, Italien, Nederländerna, Österrike, Polen, Saudi-Arabien, Schweiz, Spanien, Storbritannien, Turkiet
Betamox Portugal
Clavamox Österrike
Clavicin Malaysia, Venezuela
Clavulin Brasilien
Co-amoxi Schweiz
Co-Amoxicillin Schweiz
Curam nya Zeeland, Saudi-Arabien
Darzitil Argentina
Dibional Argentina
Julmentin Förenade Arabemiraten
Novamox Brasilien
Sulbamox Chile
Tarometin Polen
Trifamox Argentina, Colombia, Ecuador, Mexiko

Faktorer som påverkar stabiliteten   injektion   Faktorer som påverkar stabiliteten : Amoxicillin sodium / clavulanic acid        

  Mentions Légales