Zadnji put ažurirano :
27/01/2026
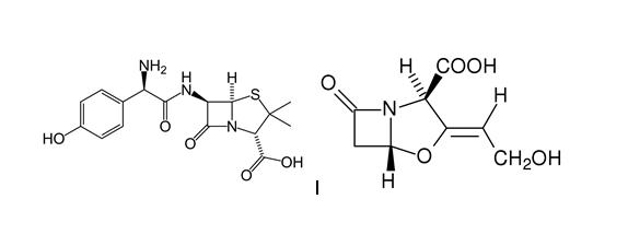
antibiotik   Amoxicillin sodium / clavulanic acid  
injekcija
oralna otopina
Stabilizacija rješenja Stabilnost mješavine Stabilizacijski faktor Kompatibilnosti način davanja lijeka Bibliografija pdf
   Kemijska struktura  

Nekomercijalni   Nekomercijalni     

Zaštićeni nazivi su indikativni i sastav ekscipijensa može biti različit ovisno o državi i laboratorijima

Aktil Madžarska
Amoclan Saudijska Arabija
Amoklavin Turska
Amoksiklav Poljska
Amoxclav Saudijska Arabija
Amplamox Brazil
Augmentin Austrija, Belgija, Čile, Ekvador, Francuska, Grčka, Italija, Nizozemska, Poljska, Saudijska Arabija, Španjolska, Švicarska, Turska, Ujedinjeni Arapski Emirati, Velika Britanija
Betamox Portugal
Clavamox Austrija
Clavicin Malezija, Venecuela
Clavulin Brazil
Co-amoxi Švicarska
Co-Amoxicillin Švicarska
Curam novi Zeland, Saudijska Arabija
Darzitil Argentina
Dibional Argentina
Julmentin Ujedinjeni Arapski Emirati
Novamox Brazil
Sulbamox Čile
Tarometin Poljska
Trifamox Argentina, Ekvador, Kolumbija, Meksiko

Stabilizacijski faktor   injekcija   Stabilizacijski faktor : Amoxicillin sodium / clavulanic acid        

  Mentions Légales