Ultimo aggiornamento :
27/01/2026
Antibiotico   Amoxicillin sodium / clavulanic acid  
Iniezione
Soluzione orale
Stabilità in soluzione Stabilità in miscela Fattori che influenzano la stabilità Compatibilità metodo di iniezione Bibliografia pdf
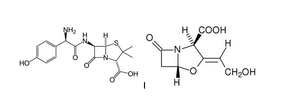
   Struttura chimica  

Nome commerciale   Nome commerciale     

Trade names are indicative and excipients composition can be different depending on the country and manufacturers

Aktil Ungheria
Amoclan Arabia Saudita
Amoklavin Turchia
Amoksiklav Polonia
Amoxclav Arabia Saudita
Amplamox Brasile
Augmentin Arabia Saudita, Austria, Belgio, Chile, Ecuador, Emirati Arabi Uniti, Francia, Gran Bretagna, Grecia, Italia, Paesi Bassi, Polonia, Spagna, Svizzera, Turchia
Betamox Portogallo
Clavamox Austria
Clavicin Malaysia, Venezuela
Clavulin Brasile
Co-amoxi Svizzera
Co-Amoxicillin Svizzera
Curam Arabia Saudita, nuova Zelanda
Darzitil Argentina
Dibional Argentina
Julmentin Emirati Arabi Uniti
Novamox Brasile
Sulbamox Chile
Tarometin Polonia
Trifamox Argentina, Colombia, Ecuador, Messico

Fattori che influenzano la stabilità   Iniezione   Fattori che influenzano la stabilità : Amoxicillin sodium / clavulanic acid        

  Mentions Légales