Poslední aktualizace :
27/04/2026
Antibiotikas   Penicillin G sodium  
Įpurškimas
Tirpalų stabilumas Mišinių stabilumas Stabilumą lemiantys veiksniai Suderinamumas Leidimo būdai Bibliografija pdf
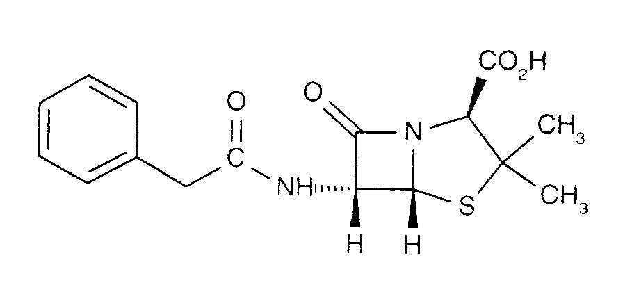
   Cheminė sandara  

Prekinis pavadinimas   Prekinis pavadinimas     

Trade names are indicative and excipients composition can be different depending on the country and manufacturers

Benapen Brazilija
Bencilpenicilina Čilė, Ekvadoras, Peru
Benpen Australija, Naujojoje Zelandijoje
Bensylpenicillin Švedija
Benzapen Iranas
Benzatec Pietų Afrikos Respublika
Benzatron Brazilija
Benzylpenicillin Danija, Egiptas, Norvegija, Suomija, Švedija
Benzylpenicilline Tunisas
Biconcillina Ekvadoras
Crystapen Airija, Didžioji Britanija, Kanada
Declin Meksikas
Fortepen Saudo Arabija
Geepenil Suomija
Natrium penicillin G Olandija
Novopen Pietų Afrikos Respublika
Pebencil Venesuela
Penbendox Meksikas
Penibiot Ispanija
Penicillin Norvegija
Penicillina G sodica Argentina, Čilė, Ekvadoras, Kolumbija, Portugalija
Penilevel Ispanija
Sodiopen Ispanija
Unicillina Ispanija
Bibliografija   Įpurškimas   Bibliografija : Penicillin G sodium  
tipas leidinys
13 Žurnalas Stiles ML, Allen LV.
Stability of nafcillin sodium, oxacillin sodium, penicillin G potassium, penicillin G sodium and tobramycin sulfate in polyvinyl chloride drug reservoirs.
Am J Health-Syst Pharm 1997 ; 54: 1068-1070.
440 Žurnalas Stiles ML, Tu YH, Allen LV.
Stability of cefazolin sodium, cefoxitin sodium, ceftazidime, and penicillin G sodium in portable pump reservoirs.
Am J Hosp Pharm 1989 ; 46: 1408-1412.
1057 Žurnalas Cutie MR.
Compatibility of verapamil hydrochloride injection with commonly used additives.
Am J Hosp Pharm 1983 ; 40: 1205-1207.
1072 Žurnalas Saltsmann CL, Tom CM, Mitchell A, Fan JH, Gailey RA.
Compatibility of levofloxacin with 34 medications during simulated Y-site administration.
Am J Health-Syst Pharm 1999 ; 56: 1458-1459.
1241 Žurnalas Rayani S, Jamali F.
The stability of penicillin G sodium in 5% dextrose in water minibags after freezing.
Can J Hosp Pharm 1985 ; 38: 162-163.
1263 Žurnalas Allwood MC, Brown PW.
The effect of buffering on the stability of reconstituted benzylpenicillin injection.
Int J Pharm Pract 1992 ; 1: 242-244.
1725 Žurnalas Oliver C, Law S.
Compatibility of oxytocin, zidovudine, and penicillin G.
Can J Hosp Pharm 2001 ; 54: 112-113.
2056 Žurnalas Vella-Brincat JWA, Begg EJ, Gallagher K, kirkpatrick CMJ, Zhang M, Frampton C, Chambers ST.
Stability of benzylpenicillin during continuous home intravenous therapy.
J Antimicrob Chemother 2004 ; 53: 675-677.
2087 Žurnalas Ferreira E, Forest JM, Hildgen P.
Compatibility of dimenhydrinate injectable by Y administration.
Pharmactuel 2004 ; 37: 17-20.
2090 Žurnalas Pere H, Chasse V, Forest JM, Hildgen P.
Compatibility of injectable pantoprazole in Y-site administration.
Pharmactuel 2004 ; 37: 193-196.
3012 Žurnalas Sullivan T, Forrest J.M, Leclair G.
Compatibility of Cloxacillin Sodium with Selected Intravenous Drugs During Simulated Y-Site Administration
Hosp Pharm 2015 ; 50, 3: 214-220.
3227 Žurnalas Simon B, Hancu G, Gy?resi A.
Application of capillary electrophoresis to the simultaneous determination and stability study of four extensively used penicillin derivatives
Braz J Pharm Sci 2014 ; 50, 3 : 521-527.
3520 Laboratorija Cidomycin - Summary of product Chracteristics.
Sanofi 2011
3529 Laboratorija Ciprofloxacin – Summary of Product Characteristics
Hospira 2013
3540 Laboratorija Heparin sodium - Summary of Product Characteristics.
Wockhardt 2010
3549 Laboratorija Amikacine B Braun - Résumé des caractéristiques du produit.
B Braun 2012
3580 Laboratorija Cytarabine Accord - Résumé des caractéristiques du produit
Accord Healthcare France 2016
3585 Laboratorija Benzylpenicillin sodium - Summary of Product Characteristics
Genus Pharmaceuticals 2008
3643 Laboratorija Gentamicin sulphate (Cidomycin®) - Summary of Product Characteristics
Sanofi 2015
3648 Žurnalas Hossain M.A, Friciu M, Aubin S, Leclair G.
Stability of penicillin G sodium diluted with 0.9% sodium chloride injection or 5% dextrose injection and stored in polyvinyl chloride bag containers and elastomeric pump containers.
Am J Health-Syst Pharm 2014 ; 71:669-673.
3674 Laboratorija Erythromycin lactobionate - Summary of Product Characteristics
PanPharma 2016
3702 Žurnalas McDougall D.A.J, McWhinney.
Stability of buffered benzylpenicillin solutions for outpatient parenteral antimicrobial therapy.
J Pharm Pract and Res 2014 ; 44, 1: 26-28.
3931 Laboratorija Trimébutine (Débridat®) - Résumé des caractéristiques du produit
Pfizer Laboratoire 2016
3964 Žurnalas Audet M.A, Forest E, Friciu M, Forest J.M, Leclair G.
Compatibilité du citrate de caféine injectable avec plusieurs autres médicaments.
Pharmactuel 2017 ; 50,1 : 27-33.
4154 Laboratorija Bleomycin sulfate- Summary of Product Characteristics
Accord Health Care 2018
4319 Žurnalas Lessard J-J, Caron E, Schérer H, Forest J-M, Leclair G.
Compatibility of Y-site Injection of Meropenem Trihydrate With 101 Other Injectable Drugs.
Hosp Pharm 2020 ; 55, 5: 332-337.
4389 Žurnalas Côté K, Correal F, Metras M.E, Friciu M, Forest J.M, Leclair G.
Compatibilité physique des médicaments administrés en Y aux soins intensifs, en particulier la dexmédétomidine, le lévosimendan et la kétamine.
Pharmactuel 2019 ;52,4:206-213
4590 Žurnalas Smith E.K, McWhinney MPhil B.C.
Stability of buffered benzylpenicillin and flucloxacillin for a paediatric outpatient parenteral antibiotic therapy service.
J Pediatr Pharmacol Ther 2021 ; 51: 231-237.
4603 Žurnalas Vallée M, Barthélémy I, Friciu M, Pelletier E, Forest J.M, Benoit F, Leclair G.
Compatibility of Lactated Ringer’s Injection With 94 Selected Intravenous Drugs During Simulated Y-site Administration.
Hosp Pharm 2021 ; 56, 4: 228-234.
4831 Žurnalas Nezvalova-Henriksen K, Huseby Holm T, Nilsson N, Kjønniksen I, Tho I.
Frequently acquired drugs in neonatal intensive care and their physical compatibility.
Acta Paediatr 2022 ;111:2307–2314. 
4837 Žurnalas De Silva, D.T.N Petrovski M, Strunk T, Mukadam N, Page‑Sharp N, Moore B.R, Batty K.T.
Physicochemical compatibility of caffeine citrate and caffeine base injections with parenteral medications used in neonatal intensive care settings.
Eur J Clin Pharmacol 2024 ; 80:1079–1087.
4845 Žurnalas De Silva D.T.N, Strunk T, Petrovski M, Page-Sharp M, Moore B.R, Batty K.T.
The Physicochemical Compatibility of Sildenafil Injection with Parenteral Medications Used in Neonatal Intensive Care Settings.
Pharmaceutics 2024 ;1 6, 419.
4874 Žurnalas Rentsch K.M, Khanna N, Halbeisen D, Osthoff M.
Enhancing Stability and Investigating Target Attainment of Benzylpenicillin in Outpatient Parenteral Antimicrobial Therapy: Insights from In Vitro and In Vivo Evaluations.
Antibiotics 2024 ; 13, 970.
4922 Žurnalas Wanandy T, Handley SA, Le TTA, Lau WY, Turner ME, Wiese MD.
Stability of Antibiotics for Use in the Testing of Immediate Drug Allergy Reactions.
J Allergy Clin Immunol Pract 2024 13, 2: 343-352.
5046 Laboratorija Metaraminol 10 mg/ml Solution for Injection or Infusion - Package leaflet: Information for the user.
Global Harvest Pharmaceuticals 2020

  Mentions Légales