Dernière mise à jour :
27/04/2026
Antibiotique   Penicillin G sodium  
injectable
Stabilité des solutions Stabilité en mélange Facteur influençant la stabilité Compatibilités Voie d’administration Bibliographie pdf
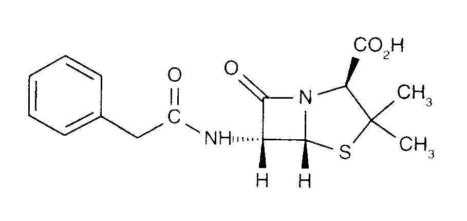
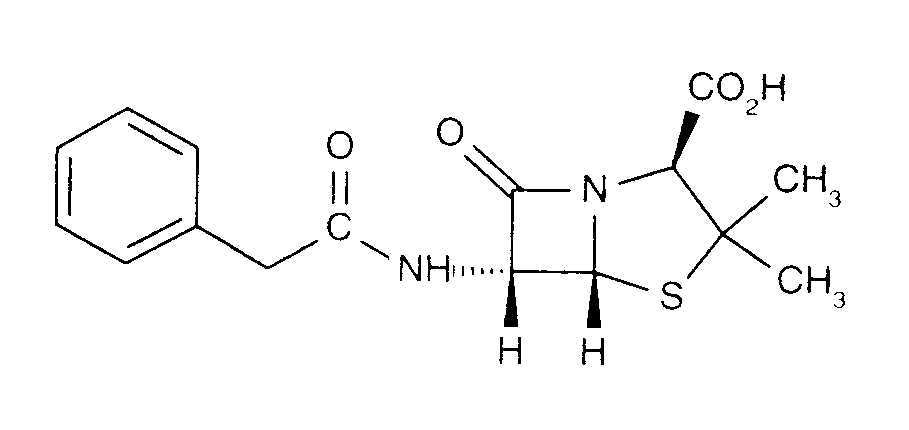
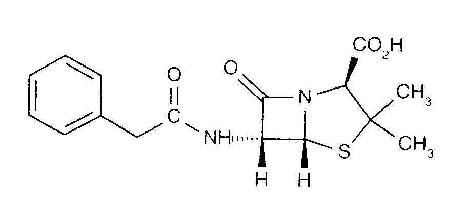
   Structure chimique  

Noms commerciaux   Noms commerciaux     

Les noms commerciaux sont donnés à titre indicatif et la composition en excipients peut être différente selon les pays et selon les laboratoires

Benapen Brésil
Bencilpenicilina Chili, Equateur, Pérou
Benpen Australie, Nouvelle Zélande
Bensylpenicillin Suède
Benzapen Iran
Benzatec Afrique du sud
Benzatron Brésil
Benzylpenicillin Danemark, Egypte, Finlande, Norvège, Suède
Benzylpenicilline Tunisie
Biconcillina Equateur
Crystapen Canada, Grande Bretagne, Irlande
Declin Mexique
Fortepen Arabie Saoudite
Geepenil Finlande
Natrium penicillin G Pays bas
Novopen Afrique du sud
Pebencil Vénézuela
Penbendox Mexique
Penibiot Espagne
Penicillin Norvège
Penicillina G sodica Argentine, Chili, Colombie, Equateur, Portugal
Penilevel Espagne
Sodiopen Espagne
Unicillina Espagne
Bibliographie   injectable   Bibliographie : Penicillin G sodium  
Type Source
13 Revue Stiles ML, Allen LV.
Stability of nafcillin sodium, oxacillin sodium, penicillin G potassium, penicillin G sodium and tobramycin sulfate in polyvinyl chloride drug reservoirs.
Am J Health-Syst Pharm 1997 ; 54: 1068-1070.
440 Revue Stiles ML, Tu YH, Allen LV.
Stability of cefazolin sodium, cefoxitin sodium, ceftazidime, and penicillin G sodium in portable pump reservoirs.
Am J Hosp Pharm 1989 ; 46: 1408-1412.
1057 Revue Cutie MR.
Compatibility of verapamil hydrochloride injection with commonly used additives.
Am J Hosp Pharm 1983 ; 40: 1205-1207.
1072 Revue Saltsmann CL, Tom CM, Mitchell A, Fan JH, Gailey RA.
Compatibility of levofloxacin with 34 medications during simulated Y-site administration.
Am J Health-Syst Pharm 1999 ; 56: 1458-1459.
1241 Revue Rayani S, Jamali F.
The stability of penicillin G sodium in 5% dextrose in water minibags after freezing.
Can J Hosp Pharm 1985 ; 38: 162-163.
1263 Revue Allwood MC, Brown PW.
The effect of buffering on the stability of reconstituted benzylpenicillin injection.
Int J Pharm Pract 1992 ; 1: 242-244.
1725 Revue Oliver C, Law S.
Compatibility of oxytocin, zidovudine, and penicillin G.
Can J Hosp Pharm 2001 ; 54: 112-113.
2056 Revue Vella-Brincat JWA, Begg EJ, Gallagher K, kirkpatrick CMJ, Zhang M, Frampton C, Chambers ST.
Stability of benzylpenicillin during continuous home intravenous therapy.
J Antimicrob Chemother 2004 ; 53: 675-677.
2087 Revue Ferreira E, Forest JM, Hildgen P.
Compatibility of dimenhydrinate injectable by Y administration.
Pharmactuel 2004 ; 37: 17-20.
2090 Revue Pere H, Chasse V, Forest JM, Hildgen P.
Compatibility of injectable pantoprazole in Y-site administration.
Pharmactuel 2004 ; 37: 193-196.
3012 Revue Sullivan T, Forrest J.M, Leclair G.
Compatibility of Cloxacillin Sodium with Selected Intravenous Drugs During Simulated Y-Site Administration
Hosp Pharm 2015 ; 50, 3: 214-220.
3227 Revue Simon B, Hancu G, Gy?resi A.
Application of capillary electrophoresis to the simultaneous determination and stability study of four extensively used penicillin derivatives
Braz J Pharm Sci 2014 ; 50, 3 : 521-527.
3520 Laboratoire Cidomycin - Summary of product Chracteristics.
Sanofi 2011
3529 Laboratoire Ciprofloxacin – Summary of Product Characteristics
Hospira 2013
3540 Laboratoire Heparin sodium - Summary of Product Characteristics.
Wockhardt 2010
3549 Laboratoire Amikacine B Braun - Résumé des caractéristiques du produit.
B Braun 2012
3580 Laboratoire Cytarabine Accord - Résumé des caractéristiques du produit
Accord Healthcare France 2016
3585 Laboratoire Benzylpenicillin sodium - Summary of Product Characteristics
Genus Pharmaceuticals 2008
3643 Laboratoire Gentamicin sulphate (Cidomycin®) - Summary of Product Characteristics
Sanofi 2015
3648 Revue Hossain M.A, Friciu M, Aubin S, Leclair G.
Stability of penicillin G sodium diluted with 0.9% sodium chloride injection or 5% dextrose injection and stored in polyvinyl chloride bag containers and elastomeric pump containers.
Am J Health-Syst Pharm 2014 ; 71:669-673.
3674 Laboratoire Erythromycin lactobionate - Summary of Product Characteristics
PanPharma 2016
3702 Revue McDougall D.A.J, McWhinney.
Stability of buffered benzylpenicillin solutions for outpatient parenteral antimicrobial therapy.
J Pharm Pract and Res 2014 ; 44, 1: 26-28.
3931 Laboratoire Trimébutine (Débridat®) - Résumé des caractéristiques du produit
Pfizer Laboratoire 2016
3964 Revue Audet M.A, Forest E, Friciu M, Forest J.M, Leclair G.
Compatibilité du citrate de caféine injectable avec plusieurs autres médicaments.
Pharmactuel 2017 ; 50,1 : 27-33.
4154 Laboratoire Bleomycin sulfate- Summary of Product Characteristics
Accord Health Care 2018
4319 Revue Lessard J-J, Caron E, Schérer H, Forest J-M, Leclair G.
Compatibility of Y-site Injection of Meropenem Trihydrate With 101 Other Injectable Drugs.
Hosp Pharm 2020 ; 55, 5: 332-337.
4389 Revue Côté K, Correal F, Metras M.E, Friciu M, Forest J.M, Leclair G.
Compatibilité physique des médicaments administrés en Y aux soins intensifs, en particulier la dexmédétomidine, le lévosimendan et la kétamine.
Pharmactuel 2019 ;52,4:206-213
4590 Revue Smith E.K, McWhinney MPhil B.C.
Stability of buffered benzylpenicillin and flucloxacillin for a paediatric outpatient parenteral antibiotic therapy service.
J Pediatr Pharmacol Ther 2021 ; 51: 231-237.
4603 Revue Vallée M, Barthélémy I, Friciu M, Pelletier E, Forest J.M, Benoit F, Leclair G.
Compatibility of Lactated Ringer’s Injection With 94 Selected Intravenous Drugs During Simulated Y-site Administration.
Hosp Pharm 2021 ; 56, 4: 228-234.
4831 Revue Nezvalova-Henriksen K, Huseby Holm T, Nilsson N, Kjønniksen I, Tho I.
Frequently acquired drugs in neonatal intensive care and their physical compatibility.
Acta Paediatr 2022 ;111:2307–2314. 
4837 Revue De Silva, D.T.N Petrovski M, Strunk T, Mukadam N, Page‑Sharp N, Moore B.R, Batty K.T.
Physicochemical compatibility of caffeine citrate and caffeine base injections with parenteral medications used in neonatal intensive care settings.
Eur J Clin Pharmacol 2024 ; 80:1079–1087.
4845 Revue De Silva D.T.N, Strunk T, Petrovski M, Page-Sharp M, Moore B.R, Batty K.T.
The Physicochemical Compatibility of Sildenafil Injection with Parenteral Medications Used in Neonatal Intensive Care Settings.
Pharmaceutics 2024 ;1 6, 419.
4874 Revue Rentsch K.M, Khanna N, Halbeisen D, Osthoff M.
Enhancing Stability and Investigating Target Attainment of Benzylpenicillin in Outpatient Parenteral Antimicrobial Therapy: Insights from In Vitro and In Vivo Evaluations.
Antibiotics 2024 ; 13, 970.
4922 Revue Wanandy T, Handley SA, Le TTA, Lau WY, Turner ME, Wiese MD.
Stability of Antibiotics for Use in the Testing of Immediate Drug Allergy Reactions.
J Allergy Clin Immunol Pract 2024 13, 2: 343-352.
5046 Laboratoire Metaraminol 10 mg/ml Solution for Injection or Infusion - Package leaflet: Information for the user.
Global Harvest Pharmaceuticals 2020

  Mentions Légales