Última actualización :
18/03/2026
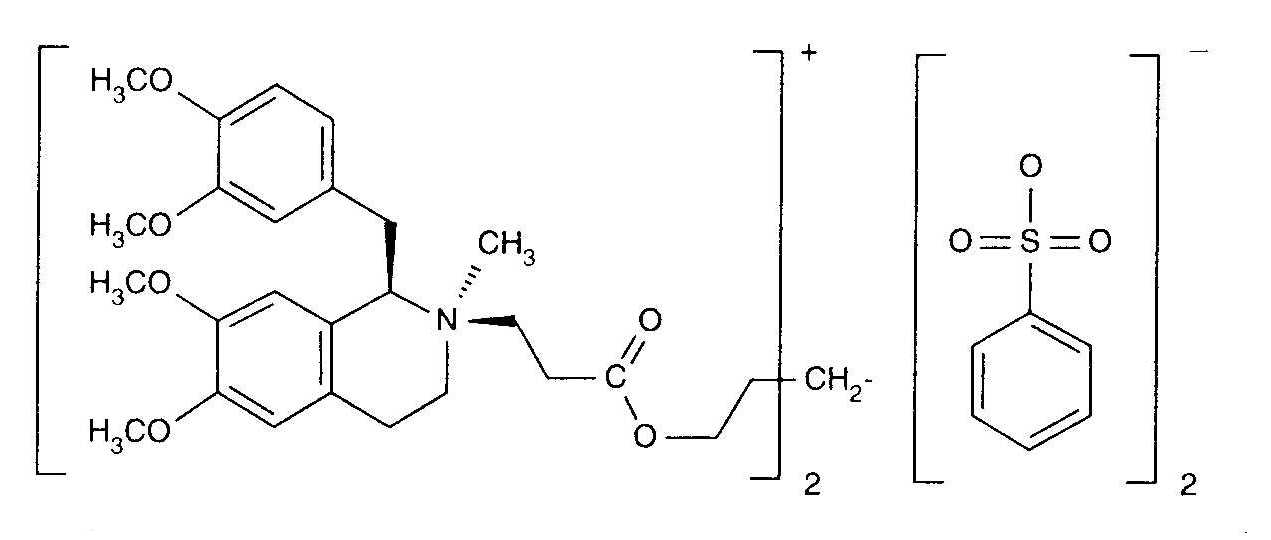
Curarizante   Cisatracurium besylate  
Inyectables
Estabilidad en solucion Estabilidad en mezcla Factores que influyen sobre la estabilidad Compatibilidades método de inyección Bibliografía pdf
   Estructura química  

Nombre comercial   Nombre comercial     

Los nombres comerciales son orientativos y los excipientes de la formulación pueden ser distintos dependiendo del país y del laboratorio fabricante.

Bensitrak México
Besilato de cisatracurio
Cicuryl México
Cirium Colombia
Cis Atracure
Cisatracurio Brasil, Chile, Colombia, Ecuador, España, Italia, Marruecos
Cisatracurium Alemania, Bélgica, Canadá, Finlandia, Francia, Gran Bretaña, Hungría, Irlanda, Túnez
Nimbex Alemania, Arabia Saudita, Austria, Bélgica, Canadá, Chile, Dinamarca, Ecuador, Egipto, Emiratos Árabes Unidos, Eslovenia, España, Estados Unidos de América, Finlandia, Francia, Gran Bretaña, Grecia, Hungría, Irán, Irlanda, Italia, Luxemburgo, Malasia, Marruecos, México, Noruega, Países Bajos, Polonia, Portugal, Suecia, Túnez, Turquía, Venezuela
Nimbium Brasil, Colombia
Estabilidad en solucion   Inyectables   Estabilidad en solucion : Cisatracurium besylate     
Envase Solvente Concentración Temperatura Conservación Duración de la estabilidad Bibliografía
Vidrio Ninguno 10 mg/ml 2-8°C A cubierto de la luz
450 Día
4769
Nivel de evidencia A+

Vidrio Ninguno 2 & 10 mg/ml 23°C Con o sin luz
45 Día
533
Nivel de evidencia A+

Vidrio Ninguno 2 & 10 mg/ml 4°C A cubierto de la luz
90 Día
533
Nivel de evidencia A+

Cloruro de polivinilo Cloruro de sodio 0,9% 0,1 & 2 & 5 mg/ml 4°C A cubierto de la luz
30 Día
533
Nivel de evidencia A+

Cloruro de polivinilo Cloruro de sodio 0,9% 5 mg/ml 23°C Con o sin luz
30 Día
533
Nivel de evidencia A+

Cloruro de polivinilo Glucosa 5% 0,1 & 2 & 5 mg/ml 4°C A cubierto de la luz
30 Día
533
Nivel de evidencia A+

Cloruro de polivinilo Glucosa 5% 5 mg/ml 23°C Con o sin luz
30 Día
533
Nivel de evidencia A+

Poliolefina Cloruro de sodio 0,9% 0,1 mg/ml 23-27°C No precisada
48 Hora
4358
Nivel de evidencia C+

Poliolefina Cloruro de sodio 0,9% 0,1 mg/ml 4-6°C No precisada
7 Día
4358
Nivel de evidencia C+

Poliolefina Glucosa 5% 0,1 mg/ml 23-27°C No precisada
24 Hora
4358
Nivel de evidencia C+

Poliolefina Glucosa 5% 0,1 mg/ml 4-6°C No precisada
7 Día
4358
Nivel de evidencia C+

jeringa polipropileno Cloruro de sodio 0,9% 0,1 mg/ml 23-27°C No precisada
2 Día
4358
Nivel de evidencia C+

jeringa polipropileno Cloruro de sodio 0,9% 0,1 mg/ml 4-6°C No precisada
7 Día
4358
Nivel de evidencia C+

jeringa polipropileno Glucosa 5% 0,1 mg/ml 23-27°C No precisada
2 Día
4358
Nivel de evidencia C+

jeringa polipropileno Glucosa 5% 0,1 mg/ml 4-6°C No precisada
2 Día
4358
Nivel de evidencia C+

jeringa polipropileno Ninguno 2 mg/ml 23-27°C No precisada
7 Día
4358
Nivel de evidencia C+

jeringa polipropileno Ninguno 2 mg/ml 23°C Con o sin luz
30 Día
533
Nivel de evidencia A+

jeringa polipropileno Ninguno 2 mg/ml 4-6°C No precisada
7 Día
4358
Nivel de evidencia C+

jeringa polipropileno Ninguno 2 mg/ml 4°C A cubierto de la luz
30 Día
533
Nivel de evidencia A+

jeringa polipropileno Ninguno 5 mg/ml 23-27°C No precisada
7 Día
4358
Nivel de evidencia C+

jeringa polipropileno Ninguno 5 mg/ml 4-6°C No precisada
7 Día
4358
Nivel de evidencia C+


  Mentions Légales