Dernière mise à jour :
27/11/2025
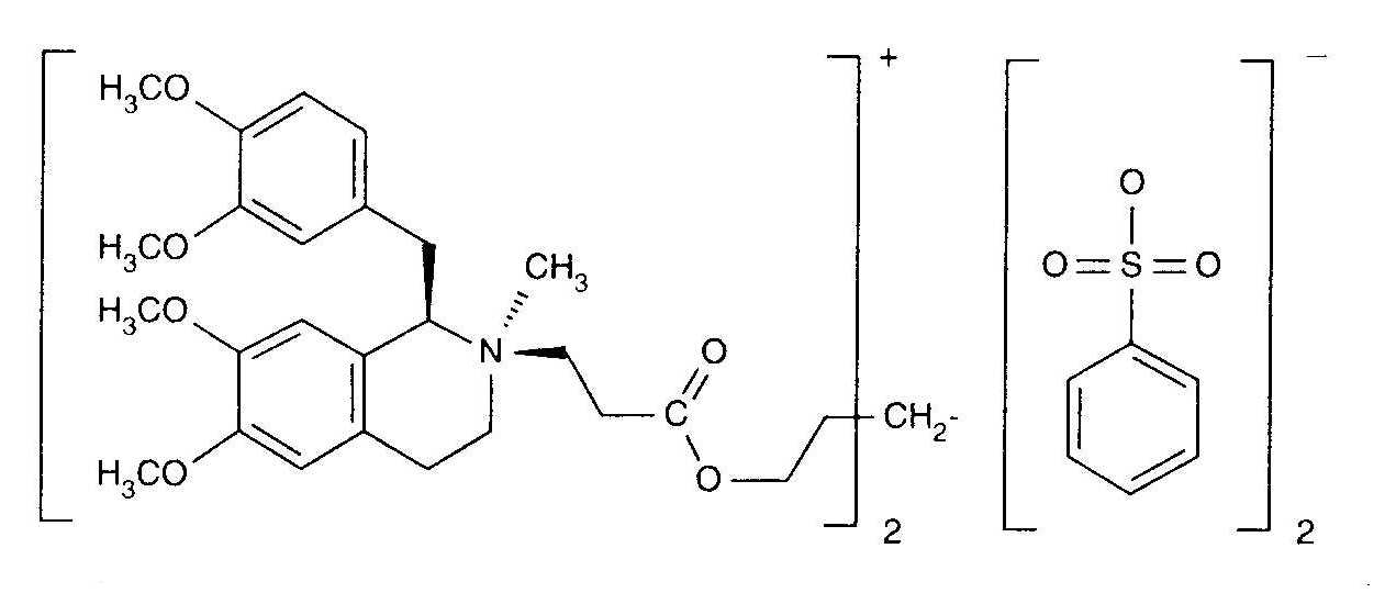
Curarisant   Cisatracurium besylate  
injectable
Stabilité des solutions Stabilité en mélange Facteur influençant la stabilité Compatibilités Voie d’administration Bibliographie pdf
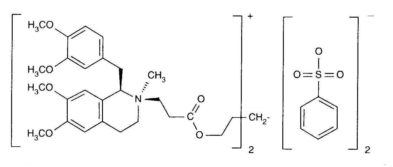
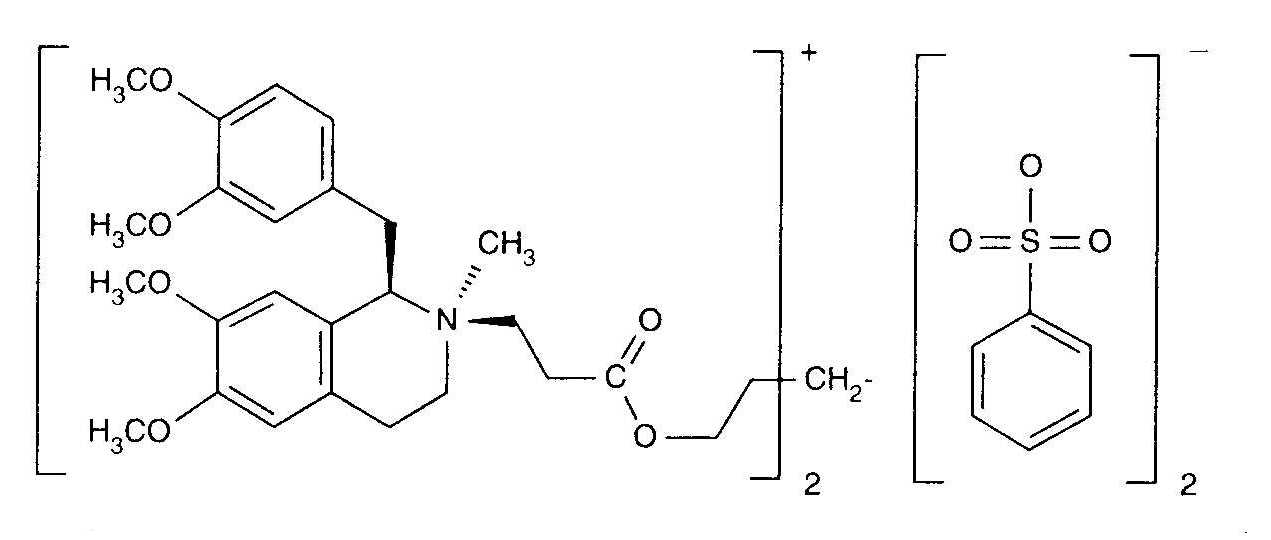
   Structure chimique  

Noms commerciaux   Noms commerciaux     

Les noms commerciaux sont donnés à titre indicatif et la composition en excipients peut être différente selon les pays et selon les laboratoires

Bensitrak Mexique
Besilato de cisatracurio
Cicuryl Mexique
Cirium Colombie
Cis Atracure
Cisatracurio Brésil, Chili, Colombie, Equateur, Espagne, Italie, Pérou
Cisatracurium Allemagne, Belgique, Canada, Finlande, France, Grande Bretagne, Hongrie, Irlande, Tunisie
Nimbex Allemagne, Arabie Saoudite, Autriche, Belgique, Canada, Chili, Danemark, Egypte, Emirats Arabes Unis , Equateur, Espagne, Etats Unis d’Amérique, Finlande, France, Grande Bretagne, Grèce, Hongrie, Iran, Irlande, Italie, Luxembourg, Malaisie, Mexique, Norvège, Pays bas, Pérou, Pologne, Portugal, Slovénie, Suède, Tunisie, Turquie, Vénézuela
Nimbium Brésil, Colombie
Stabilité des solutions   injectable   Stabilité des solutions : Cisatracurium besylate     
Contenant Solvant Concentration Température Conservation Durée de stabilité Bibliographie
Verre Aucun 10 mg/ml 2-8°C A l’abri de la lumière
450 Jour
4769
Niveau de preuve A +

Verre Aucun 2 & 10 mg/ml 23°C Avec ou sans lumière
45 Jour
533
Niveau de preuve A +

Verre Aucun 2 & 10 mg/ml 4°C A l’abri de la lumière
90 Jour
533
Niveau de preuve A +

Polyvinyl chlorure Chlorure de sodium 0,9% 0,1 & 2 & 5 mg/ml 4°C A l’abri de la lumière
30 Jour
533
Niveau de preuve A +

Polyvinyl chlorure Chlorure de sodium 0,9% 5 mg/ml 23°C Avec ou sans lumière
30 Jour
533
Niveau de preuve A +

Polyvinyl chlorure Glucose 5% 0,1 & 2 & 5 mg/ml 4°C A l’abri de la lumière
30 Jour
533
Niveau de preuve A +

Polyvinyl chlorure Glucose 5% 5 mg/ml 23°C Avec ou sans lumière
30 Jour
533
Niveau de preuve A +

Polyolefine Chlorure de sodium 0,9% 0,1 mg/ml 23-27°C Non précisée
48 Heure
4358
Niveau de preuve C+

Polyolefine Chlorure de sodium 0,9% 0,1 mg/ml 4-6°C Non précisée
7 Jour
4358
Niveau de preuve C+

Polyolefine Glucose 5% 0,1 mg/ml 23-27°C Non précisée
24 Heure
4358
Niveau de preuve C+

Polyolefine Glucose 5% 0,1 mg/ml 4-6°C Non précisée
7 Jour
4358
Niveau de preuve C+

Seringue polypropylène Chlorure de sodium 0,9% 0,1 mg/ml 23-27°C Non précisée
2 Jour
4358
Niveau de preuve C+

Seringue polypropylène Chlorure de sodium 0,9% 0,1 mg/ml 4-6°C Non précisée
7 Jour
4358
Niveau de preuve C+

Seringue polypropylène Glucose 5% 0,1 mg/ml 23-27°C Non précisée
2 Jour
4358
Niveau de preuve C+

Seringue polypropylène Glucose 5% 0,1 mg/ml 4-6°C Non précisée
2 Jour
4358
Niveau de preuve C+

Seringue polypropylène Aucun 2 mg/ml 23-27°C Non précisée
7 Jour
4358
Niveau de preuve C+

Seringue polypropylène Aucun 2 mg/ml 23°C Avec ou sans lumière
30 Jour
533
Niveau de preuve A +

Seringue polypropylène Aucun 2 mg/ml 4-6°C Non précisée
7 Jour
4358
Niveau de preuve C+

Seringue polypropylène Aucun 2 mg/ml 4°C A l’abri de la lumière
30 Jour
533
Niveau de preuve A +

Seringue polypropylène Aucun 5 mg/ml 23-27°C Non précisée
7 Jour
4358
Niveau de preuve C+

Seringue polypropylène Aucun 5 mg/ml 4-6°C Non précisée
7 Jour
4358
Niveau de preuve C+


  Mentions Légales