Viimeisin päivitys :
27/11/2025
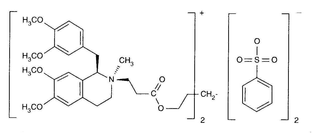
Lihasrelaksantit   Cisatracurium besylate  
Injektioneste
Stabilius liuoksessa Stabilius seoksissa Tekijät, jotka vaikuttavat stabiliuteen Yhteensopivuus Antotapa Viitteet pdf
   Kemiallinen rakenne  

Kauppanimi   Kauppanimi     

Trade names are indicative and excipients composition can be different depending on the country and manufacturers

Bensitrak Meksiko
Besilato de cisatracurio
Cicuryl Meksiko
Cirium Kolumbia
Cis Atracure
Cisatracurio Brasilia, Chile, Ecuador, Espanja, Italia, Kolumbia, Marokko
Cisatracurium Belgia, Irlanti, Iso-Britannia, Kanada, Ranska, Saksa, Suomi, Tunisia, Unkari
Nimbex Belgia, Chile, Ecuador, Egypti, Espanja, Hollanti, Iran, Irlanti, Iso-Britannia, Italia, Itävalta, Kanada, Kreikka, Luxemburg, Malesia, Marokko, Meksiko, Norja, Portugali, Puola, Ranska, Ruotsi, Saksa, Saudi-Arabia, Slovenia, Suomi, Tanska, Tunisia, Turkki, Unkari, Venezuela, Yhdistyneet arabiemiirikunnat, Yhdysvallat
Nimbium Brasilia, Kolumbia
Stabilius liuoksessa   Injektioneste   Stabilius liuoksessa : Cisatracurium besylate     
Astia Liuotin Konsentraatio Lämpötila Säilytys Vakauden kesto Viitteet
Lasi Ei mikään 10 mg/ml 2-8°C Suojattava valolta
450 Päivä
4769
Näytön laajuus A+

Lasi Ei mikään 2 & 10 mg/ml 23°C Valossa tai suojassa valolta
45 Päivä
533
Näytön laajuus A+

Lasi Ei mikään 2 & 10 mg/ml 4°C Suojattava valolta
90 Päivä
533
Näytön laajuus A+

Polyvinyylikloridi Natriumkloridi 0,9% 0,1 & 2 & 5 mg/ml 4°C Suojattava valolta
30 Päivä
533
Näytön laajuus A+

Polyvinyylikloridi Natriumkloridi 0,9% 5 mg/ml 23°C Valossa tai suojassa valolta
30 Päivä
533
Näytön laajuus A+

Polyvinyylikloridi Glukoosi 5% 0,1 & 2 & 5 mg/ml 4°C Suojattava valolta
30 Päivä
533
Näytön laajuus A+

Polyvinyylikloridi Glukoosi 5% 5 mg/ml 23°C Valossa tai suojassa valolta
30 Päivä
533
Näytön laajuus A+

Polyolefiini Natriumkloridi 0,9% 0,1 mg/ml 23-27°C Ei määritetty
48 tunti
4358
Näytön laajuus C+

Polyolefiini Natriumkloridi 0,9% 0,1 mg/ml 4-6°C Ei määritetty
7 Päivä
4358
Näytön laajuus C+

Polyolefiini Glukoosi 5% 0,1 mg/ml 23-27°C Ei määritetty
24 tunti
4358
Näytön laajuus C+

Polyolefiini Glukoosi 5% 0,1 mg/ml 4-6°C Ei määritetty
7 Päivä
4358
Näytön laajuus C+

Ruisku  polypropeeni Natriumkloridi 0,9% 0,1 mg/ml 23-27°C Ei määritetty
2 Päivä
4358
Näytön laajuus C+

Ruisku  polypropeeni Natriumkloridi 0,9% 0,1 mg/ml 4-6°C Ei määritetty
7 Päivä
4358
Näytön laajuus C+

Ruisku  polypropeeni Glukoosi 5% 0,1 mg/ml 23-27°C Ei määritetty
2 Päivä
4358
Näytön laajuus C+

Ruisku  polypropeeni Glukoosi 5% 0,1 mg/ml 4-6°C Ei määritetty
2 Päivä
4358
Näytön laajuus C+

Ruisku  polypropeeni Ei mikään 2 mg/ml 23-27°C Ei määritetty
7 Päivä
4358
Näytön laajuus C+

Ruisku  polypropeeni Ei mikään 2 mg/ml 23°C Valossa tai suojassa valolta
30 Päivä
533
Näytön laajuus A+

Ruisku  polypropeeni Ei mikään 2 mg/ml 4-6°C Ei määritetty
7 Päivä
4358
Näytön laajuus C+

Ruisku  polypropeeni Ei mikään 2 mg/ml 4°C Suojattava valolta
30 Päivä
533
Näytön laajuus A+

Ruisku  polypropeeni Ei mikään 5 mg/ml 23-27°C Ei määritetty
7 Päivä
4358
Näytön laajuus C+

Ruisku  polypropeeni Ei mikään 5 mg/ml 4-6°C Ei määritetty
7 Päivä
4358
Näytön laajuus C+


  Mentions Légales