Pēdējā atjaunošana :
27/01/2026
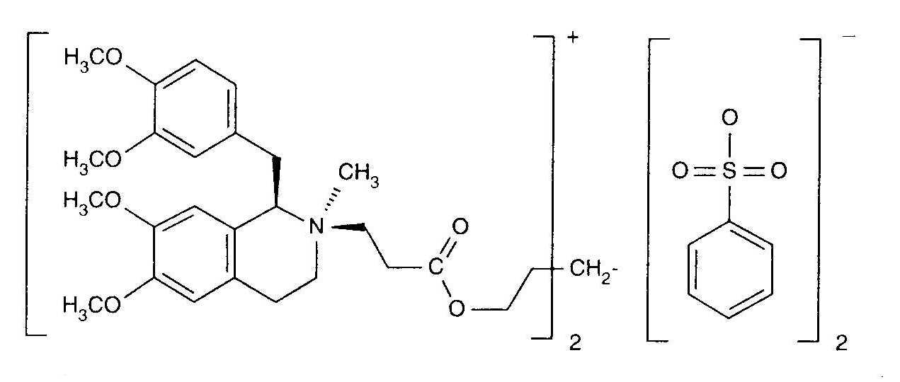
Kurarīnmimētiķis   Cisatracurium besylate  
Injekcija
Šķīduma stabilitāte Maisījuma stabilitāte Stabilitāti ietekmējoši faktori Saderība Levadīšanas veids Literatūras saraksts pdf
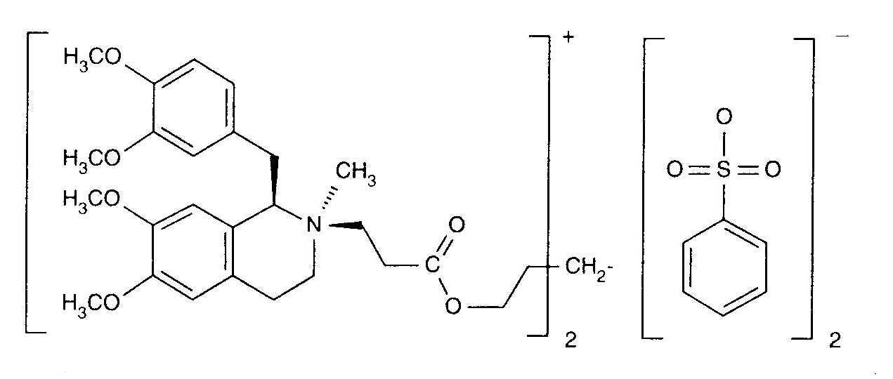
   Ķīmiskā uzbūve   

Oriģinālais nosaukums   Oriģinālais nosaukums     

Tirdzniecības nosaukumi ir apzīmējoši un palīgvielas var atšķirties dažādām valstīm un laboratorijām

Bensitrak Meksika
Besilato de cisatracurio
Cicuryl Meksika
Cirium Kolumbija
Cis Atracure
Cisatracurio Brazīlija, Čīle, Ekvadora, Itālija, Kolumbija, Peru, Spānija
Cisatracurium Beļģija, Francija, Īrija, Kanāda, Lielbritānija, Somija, Tunisija, Ungārija, Vācija
Nimbex Amerikas Savienotās Valstis, Apvienotie Arābu Emirāti, Austrija, Beļģija, Čīle, Dānija, Ēģipte, Ekvadora, Francija, Grieķija, Holande, Irāna, Īrija, Itālija, Kanāda, Lielbritānija, Luksemburga, Malaizija, Meksika, Norvēģija, Peru, Polija, Portugāle, Saūda Arābija, Slovēnija, Somija, Spānija, Tunisija, Turcija, Ungārija, Vācija, Venecuēla, Zviedrija
Nimbium Brazīlija, Kolumbija
Šķīduma stabilitāte   Injekcija   Šķīduma stabilitāte : Cisatracurium besylate     
Iepakojums Šķīdinātājs Koncentrācija Temperatūra Glabāšana Stabilitātes ilgums Literatūras saraksts
Stikls Nekāds 10 mg/ml 2-8°C Aizsargāt no gaismas
450 Diena
4769
Pierādījumu līmenis A+

Stikls Nekāds 2 & 10 mg/ml 23°C Ar vai bez gaismas
45 Diena
533
Pierādījumu līmenis A+

Stikls Nekāds 2 & 10 mg/ml 4°C Aizsargāt no gaismas
90 Diena
533
Pierādījumu līmenis A+

Polivinilhlorīds Nātrija hlorīds 0.9% 0,1 & 2 & 5 mg/ml 4°C Aizsargāt no gaismas
30 Diena
533
Pierādījumu līmenis A+

Polivinilhlorīds Nātrija hlorīds 0.9% 5 mg/ml 23°C Ar vai bez gaismas
30 Diena
533
Pierādījumu līmenis A+

Polivinilhlorīds 5% glikoze 0,1 & 2 & 5 mg/ml 4°C Aizsargāt no gaismas
30 Diena
533
Pierādījumu līmenis A+

Polivinilhlorīds 5% glikoze 5 mg/ml 23°C Ar vai bez gaismas
30 Diena
533
Pierādījumu līmenis A+

Poliolefīns Nātrija hlorīds 0.9% 0,1 mg/ml 23-27°C Nav specifisks
48 Stunda
4358
Pierādījumu līmenis C+

Poliolefīns Nātrija hlorīds 0.9% 0,1 mg/ml 4-6°C Nav specifisks
7 Diena
4358
Pierādījumu līmenis C+

Poliolefīns 5% glikoze 0,1 mg/ml 23-27°C Nav specifisks
24 Stunda
4358
Pierādījumu līmenis C+

Poliolefīns 5% glikoze 0,1 mg/ml 4-6°C Nav specifisks
7 Diena
4358
Pierādījumu līmenis C+

Šļirce polipropilēna Nātrija hlorīds 0.9% 0,1 mg/ml 23-27°C Nav specifisks
2 Diena
4358
Pierādījumu līmenis C+

Šļirce polipropilēna Nātrija hlorīds 0.9% 0,1 mg/ml 4-6°C Nav specifisks
7 Diena
4358
Pierādījumu līmenis C+

Šļirce polipropilēna 5% glikoze 0,1 mg/ml 23-27°C Nav specifisks
2 Diena
4358
Pierādījumu līmenis C+

Šļirce polipropilēna 5% glikoze 0,1 mg/ml 4-6°C Nav specifisks
2 Diena
4358
Pierādījumu līmenis C+

Šļirce polipropilēna Nekāds 2 mg/ml 23-27°C Nav specifisks
7 Diena
4358
Pierādījumu līmenis C+

Šļirce polipropilēna Nekāds 2 mg/ml 23°C Ar vai bez gaismas
30 Diena
533
Pierādījumu līmenis A+

Šļirce polipropilēna Nekāds 2 mg/ml 4-6°C Nav specifisks
7 Diena
4358
Pierādījumu līmenis C+

Šļirce polipropilēna Nekāds 2 mg/ml 4°C Aizsargāt no gaismas
30 Diena
533
Pierādījumu līmenis A+

Šļirce polipropilēna Nekāds 5 mg/ml 23-27°C Nav specifisks
7 Diena
4358
Pierādījumu līmenis C+

Šļirce polipropilēna Nekāds 5 mg/ml 4-6°C Nav specifisks
7 Diena
4358
Pierādījumu līmenis C+


  Mentions Légales