Τελευταία ενημέρωση :
27/01/2026
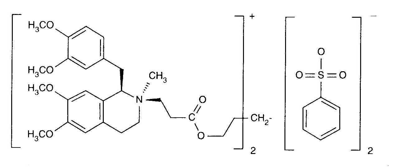
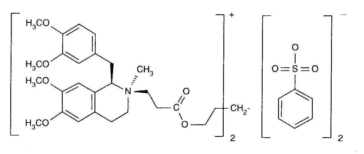
Κουραριομιμητικό   Cisatracurium besylate  
Ενέσιμο
Σταθερότητα διαλυμάτων Σταθερότητα σε μίγματα Παράγοντας που επηρεάζει τη σταθερότητα Συμβατότητες Τρόπος χορήγησης Βιβλιογραφία pdf
   χημική δομή  

Εμπορική ονομασία   Εμπορική ονομασία     

Οι εμπορικές ονομασίες είναι ενδεικτικές και η σύνθεση των εκδόχων μπορεί να διαφέρει ανάλογα με τη χώρα και τα εργαστήρια

Bensitrak Μεξικό
Besilato de cisatracurio
Cicuryl Μεξικό
Cirium Κολομβία
Cis Atracure
Cisatracurio Βραζιλία, Εκουαδόρ, Ισπανία, Ιταλία, Κολομβία, Περού, Χιλή
Cisatracurium Βέλγιο, Γαλλία, Γερμανία, Ιρλανδία, Καναδάς, Μεγάλη Βρετανία, Ουγγαρία, Τυνησία, Φινλανδία
Nimbex Yhdistyneet arabiemiirikunnat, Αίγυπτος, Αυστρία, Βέλγιο, Βενεζουέλα, Γαλλία, Γερμανία, Δανία, Εκουαδόρ, Ελλάδα, Η.Π.Α., Ιράν, Ιρλανδία, Ισπανία, Ιταλία, Καναδάς, Λουξεμβούργο, Μαλαισία, Μεγάλη Βρετανία, Μεξικό, Νορβηγία, Ολλανδία, Ουγγαρία, Περού, Πολωνία, Πορτογαλία, Σαουδική Αραβία, Σλοβενία, Σουηδία, Τουρκία, Τυνησία, Φινλανδία, Χιλή
Nimbium Βραζιλία, Κολομβία
Σταθερότητα διαλυμάτων   Ενέσιμο   Σταθερότητα διαλυμάτων : Cisatracurium besylate     
Υποδοχέας Διαλυτικό Συγκέντρωση Θερμοκρασία Αποθήκευση Διάρκεια σταθερότητας Βιβλιογραφία
Ύαλος Ουδέν 10 mg/ml 2-8°C Προστατεύετε από το φως
450 Ημέρα
4769
Επίπεδο των αποδεικτικών στοιχείων A+

Ύαλος Ουδέν 2 & 10 mg/ml 23°C Με ή χωρίς φως
45 Ημέρα
533
Επίπεδο των αποδεικτικών στοιχείων A+

Ύαλος Ουδέν 2 & 10 mg/ml 4°C Προστατεύετε από το φως
90 Ημέρα
533
Επίπεδο των αποδεικτικών στοιχείων A+

Πολυβινυλοχλωρίδιο Χλωριούχο νάτριο 0,9% 0,1 & 2 & 5 mg/ml 4°C Προστατεύετε από το φως
30 Ημέρα
533
Επίπεδο των αποδεικτικών στοιχείων A+

Πολυβινυλοχλωρίδιο Χλωριούχο νάτριο 0,9% 5 mg/ml 23°C Με ή χωρίς φως
30 Ημέρα
533
Επίπεδο των αποδεικτικών στοιχείων A+

Πολυβινυλοχλωρίδιο Γλυκόζη 5% 0,1 & 2 & 5 mg/ml 4°C Προστατεύετε από το φως
30 Ημέρα
533
Επίπεδο των αποδεικτικών στοιχείων A+

Πολυβινυλοχλωρίδιο Γλυκόζη 5% 5 mg/ml 23°C Με ή χωρίς φως
30 Ημέρα
533
Επίπεδο των αποδεικτικών στοιχείων A+

Πολυολεφίνη Χλωριούχο νάτριο 0,9% 0,1 mg/ml 23-27°C Απροσδιόριστο
48 Ώρα
4358
Επίπεδο των αποδεικτικών στοιχείων C+

Πολυολεφίνη Χλωριούχο νάτριο 0,9% 0,1 mg/ml 4-6°C Απροσδιόριστο
7 Ημέρα
4358
Επίπεδο των αποδεικτικών στοιχείων C+

Πολυολεφίνη Γλυκόζη 5% 0,1 mg/ml 23-27°C Απροσδιόριστο
24 Ώρα
4358
Επίπεδο των αποδεικτικών στοιχείων C+

Πολυολεφίνη Γλυκόζη 5% 0,1 mg/ml 4-6°C Απροσδιόριστο
7 Ημέρα
4358
Επίπεδο των αποδεικτικών στοιχείων C+

σύριγγα πολυπροπυλένιο Χλωριούχο νάτριο 0,9% 0,1 mg/ml 23-27°C Απροσδιόριστο
2 Ημέρα
4358
Επίπεδο των αποδεικτικών στοιχείων C+

σύριγγα πολυπροπυλένιο Χλωριούχο νάτριο 0,9% 0,1 mg/ml 4-6°C Απροσδιόριστο
7 Ημέρα
4358
Επίπεδο των αποδεικτικών στοιχείων C+

σύριγγα πολυπροπυλένιο Γλυκόζη 5% 0,1 mg/ml 23-27°C Απροσδιόριστο
2 Ημέρα
4358
Επίπεδο των αποδεικτικών στοιχείων C+

σύριγγα πολυπροπυλένιο Γλυκόζη 5% 0,1 mg/ml 4-6°C Απροσδιόριστο
2 Ημέρα
4358
Επίπεδο των αποδεικτικών στοιχείων C+

σύριγγα πολυπροπυλένιο Ουδέν 2 mg/ml 23-27°C Απροσδιόριστο
7 Ημέρα
4358
Επίπεδο των αποδεικτικών στοιχείων C+

σύριγγα πολυπροπυλένιο Ουδέν 2 mg/ml 23°C Με ή χωρίς φως
30 Ημέρα
533
Επίπεδο των αποδεικτικών στοιχείων A+

σύριγγα πολυπροπυλένιο Ουδέν 2 mg/ml 4-6°C Απροσδιόριστο
7 Ημέρα
4358
Επίπεδο των αποδεικτικών στοιχείων C+

σύριγγα πολυπροπυλένιο Ουδέν 2 mg/ml 4°C Προστατεύετε από το φως
30 Ημέρα
533
Επίπεδο των αποδεικτικών στοιχείων A+

σύριγγα πολυπροπυλένιο Ουδέν 5 mg/ml 23-27°C Απροσδιόριστο
7 Ημέρα
4358
Επίπεδο των αποδεικτικών στοιχείων C+

σύριγγα πολυπροπυλένιο Ουδέν 5 mg/ml 4-6°C Απροσδιόριστο
7 Ημέρα
4358
Επίπεδο των αποδεικτικών στοιχείων C+


  Mentions Légales