Siste oppdatering :
27/11/2025
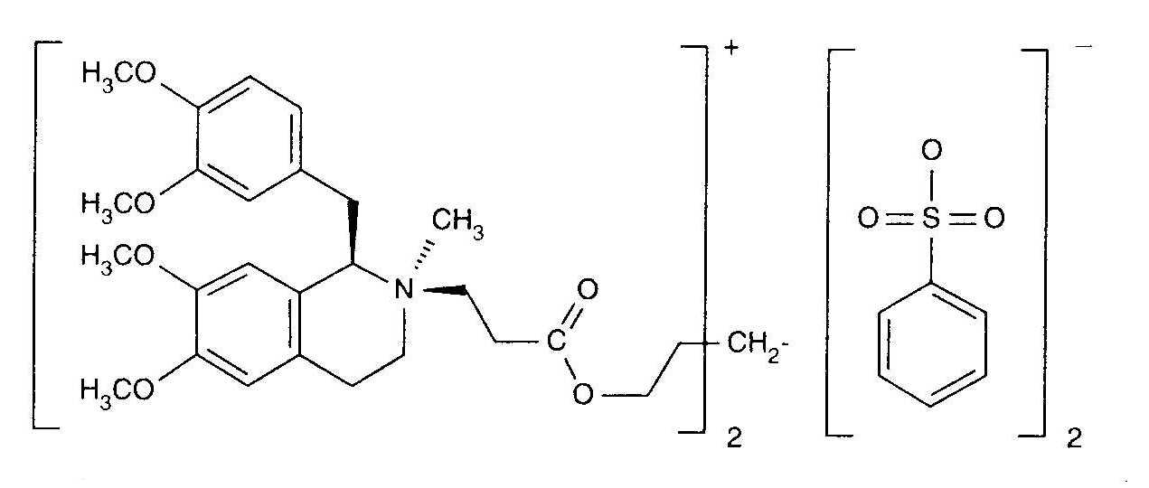
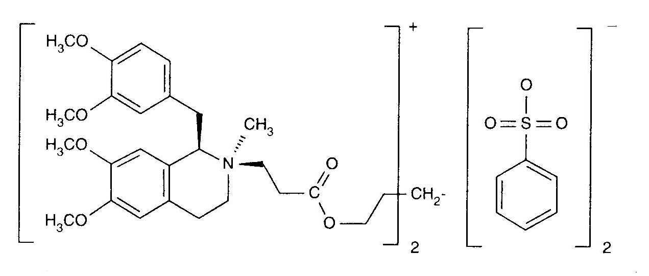
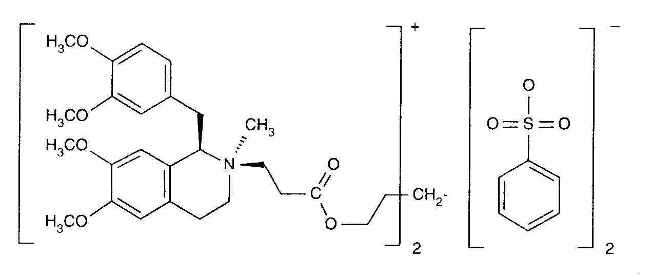
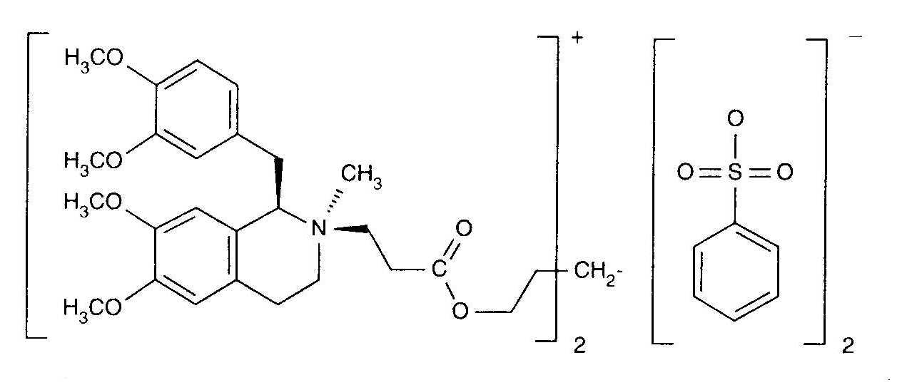
Kurarelignende middel   Cisatracurium besylate  
Injeksjon
Oppløsningsstabilitet Stabilitet i blandinger Faktorer som påvirker stabiliteten Kompatibilitet Administrasjonsmåte Referanser pdf
   Kjemisk struktur  

Handelsnavn   Handelsnavn     

Handelsnavn er veiledende og sammensetning av hjelpestoffer kan være forskjellig avhengig av land og produsent

Bensitrak Mexico
Besilato de cisatracurio
Cicuryl Mexico
Cirium Colombia
Cis Atracure
Cisatracurio Brasil, Chile, Colombia, Ecuador, Italia, Peru, Spania
Cisatracurium Belgia, Canada, Finland, Frankrike, Irland, Storbritannia, Tunisia, Tyskland, Ungarn
Nimbex Belgia, Canada, Chile, Danmark, De forente arabiske emirater, Ecuador, Egypt, Finland, Frankrike, Hellas, Iran, Irland, Italia, Luxembourg, Malaysia, Mexico, Nederland, Norge, Peru, Polen, Portugal, Saudi-Arabia, Slovenia, Spania, Storbritannia, Sverige, Tunisia, Tyrkia, Tyskland, Ungarn, USA, Venezuela, Østerrike
Nimbium Brasil, Colombia
Oppløsningsstabilitet   Injeksjon   Oppløsningsstabilitet : Cisatracurium besylate     
Beholder Oppløsningsmiddel Konsentrasjon Temperatur Oppbevaring Varighet av stabilitet Referanser
Glass Ingen 10 mg/ml 2-8°C Beskyttes mot lys
450 Dag
4769
Bevisgrad A +

Glass Ingen 2 & 10 mg/ml 23°C Med eller uten lys
45 Dag
533
Bevisgrad A +

Glass Ingen 2 & 10 mg/ml 4°C Beskyttes mot lys
90 Dag
533
Bevisgrad A +

Polyvinylklorid Natriumklorid 0,9 % 0,1 & 2 & 5 mg/ml 4°C Beskyttes mot lys
30 Dag
533
Bevisgrad A +

Polyvinylklorid Natriumklorid 0,9 % 5 mg/ml 23°C Med eller uten lys
30 Dag
533
Bevisgrad A +

Polyvinylklorid Glukose 5 % 0,1 & 2 & 5 mg/ml 4°C Beskyttes mot lys
30 Dag
533
Bevisgrad A +

Polyvinylklorid Glukose 5 % 5 mg/ml 23°C Med eller uten lys
30 Dag
533
Bevisgrad A +

Polyolefin Natriumklorid 0,9 % 0,1 mg/ml 23-27°C Ikke angitt
48 Tid
4358
Bevisgrad C+

Polyolefin Natriumklorid 0,9 % 0,1 mg/ml 4-6°C Ikke angitt
7 Dag
4358
Bevisgrad C+

Polyolefin Glukose 5 % 0,1 mg/ml 23-27°C Ikke angitt
24 Tid
4358
Bevisgrad C+

Polyolefin Glukose 5 % 0,1 mg/ml 4-6°C Ikke angitt
7 Dag
4358
Bevisgrad C+

Sprøyte polypropylen Natriumklorid 0,9 % 0,1 mg/ml 23-27°C Ikke angitt
2 Dag
4358
Bevisgrad C+

Sprøyte polypropylen Natriumklorid 0,9 % 0,1 mg/ml 4-6°C Ikke angitt
7 Dag
4358
Bevisgrad C+

Sprøyte polypropylen Glukose 5 % 0,1 mg/ml 23-27°C Ikke angitt
2 Dag
4358
Bevisgrad C+

Sprøyte polypropylen Glukose 5 % 0,1 mg/ml 4-6°C Ikke angitt
2 Dag
4358
Bevisgrad C+

Sprøyte polypropylen Ingen 2 mg/ml 23-27°C Ikke angitt
7 Dag
4358
Bevisgrad C+

Sprøyte polypropylen Ingen 2 mg/ml 23°C Med eller uten lys
30 Dag
533
Bevisgrad A +

Sprøyte polypropylen Ingen 2 mg/ml 4-6°C Ikke angitt
7 Dag
4358
Bevisgrad C+

Sprøyte polypropylen Ingen 2 mg/ml 4°C Beskyttes mot lys
30 Dag
533
Bevisgrad A +

Sprøyte polypropylen Ingen 5 mg/ml 23-27°C Ikke angitt
7 Dag
4358
Bevisgrad C+

Sprøyte polypropylen Ingen 5 mg/ml 4-6°C Ikke angitt
7 Dag
4358
Bevisgrad C+


  Mentions Légales