Cập nhật lần cuối :
27/01/2026
Thuốc khử cực giống cura   Cisatracurium besylate  
Dạng tiêm
Tính ổn định của các dung dịch Độ ổn định khi trộn lẫn Những yếu tố ảnh hưởng đến độ ổn định Khả năng tương thích Đường dùng Tài liệu tham khảo Pdf
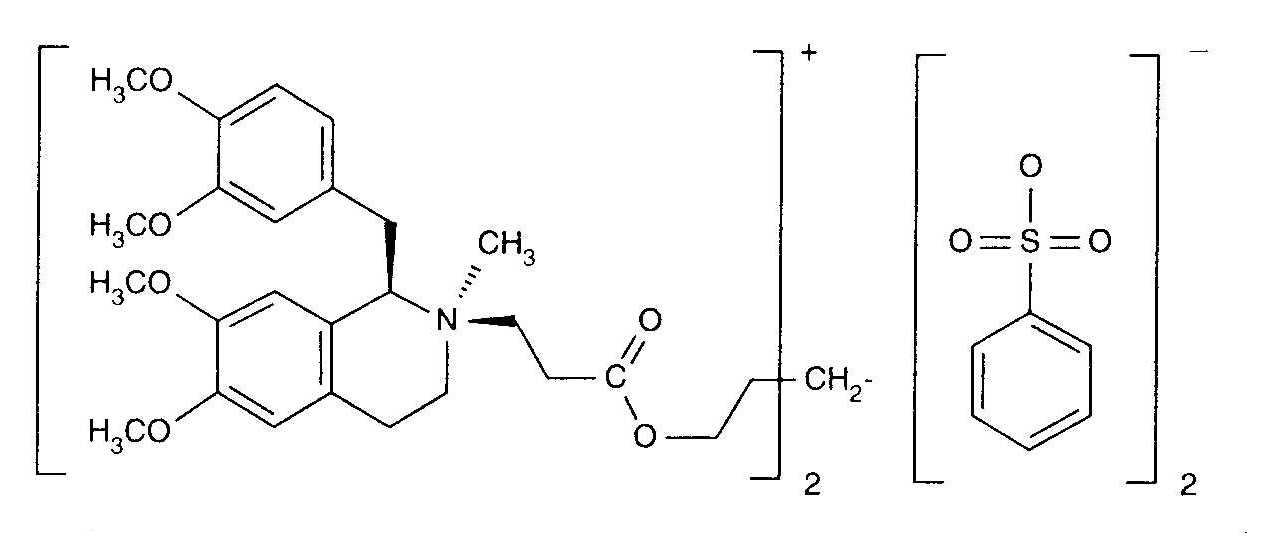
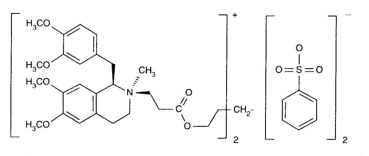
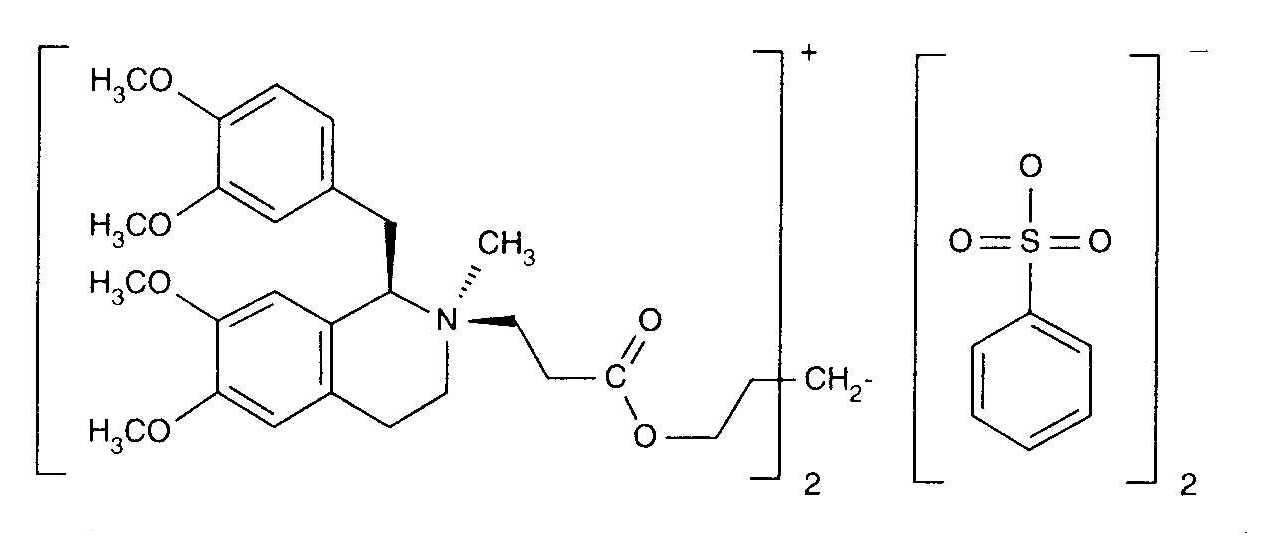
   Cấu trúc hóa học  

Tên thương mại   Tên thương mại     

Các tên thương mại được cung cấp và thành phần tá dược có thể khác nhau giữa các quốc gia và các hãng dược

Bensitrak Mexico
Besilato de cisatracurio
Cicuryl Mexico
Cirium Colombia
Cis Atracure
Cisatracurio Brazil, Chile, Colombia, Ecuador, Peru, Tây Ban Nha, Ý
Cisatracurium Anh, Bỉ, Canada, Hungary, Ireland, Phần Lan, Pháp, Tunisia, Đức
Nimbex Ả Rập, Ả Rập Saudi, Anh, Áo, Ba Lan, Bỉ, Bồ Đào Nha, Canada, Chile, Ecuador, Hà Lan, Hoa Kỳ, Hungary, Hy Lạp, Iran, Ireland, Luxembourg, Malaysia, Mexico, Na Uy, Peru, Phần Lan, Pháp, Slovenia, Tây Ban Nha, Thổ Nhĩ Kỳ, Thụy Điển, Tunisia, United Arab Emirates, Venezuela, Ý, Đan Mạch, Đức
Nimbium Brazil, Colombia
Tài liệu tham khảo   Dạng tiêm   Tài liệu tham khảo : Cisatracurium besylate  
Loại Nguồn
59 Tạp chí Trissel LA, Gilbert DL, Martinez JF, Kim MC.
Compatibility of remifentanil hydrochloride with selected drugs during simulated Y-site administration.
Am J Health-Syst Pharm 1997 ; 54: 2192-2196.
299 Tạp chí Trissel LA, Martinez JF, Gilbert DL.
Compatibility of cisatracurium besylate with selected drugs during simulated Y-site administration.
Am J Health-Syst Pharm 1997 ; 54: 1735-1741.
533 Tạp chí Xu QA, Zhang YP, Trissel LA, Gilbert DL, Martinez JF, Fox JL.
Stability of cisatracurium besylate in vials, syringes and infusion admixtures.
Am J Health-Syst Pharm 1998 ; 55: 1037-1041.
921 Tạp chí Trissel LA, Gilbert DL, Martinez JF.
Incompatibility and compatibility of amphotericin B cholesteryl sulfate complex with selected other drugs during simulated Y-site administration.
Hosp Pharm 1998 ; 33: 284-292.
1712 Tạp chí Trissel LA, Saenz CA.
Compatibility screening of Precedex during simulated Y-site administration with other drugs.
Int J Pharm Compound 2002 ; 6: 230-233.
1721 Tạp chí Trissel LA, Williams KY, Baker MB.
Compatibility screening of Hextend during simulated Y-site administration with other drugs.
Int J Pharm Compound 2001 ; 5: 69-72.
1803 Tạp chí Trissel, LA, Saenz CA, Ogundele OB, Ingram D, Baker MB.
Compatibility of fenoldopam mesylate with other drugs during simulated Y-site administration.
Am J Health-Syst Pharm 2003 ; 60: 80-85.
1925 Tạp chí Trissel LA , Williams KY, Gilbert DL.
Compatibility screening of linezolid injection during simulated Y-site administration with other drugs and infusion solutions.
J Am Pharm Assoc 2000 ; 40: 515-519.
2108 Tạp chí Trusley C, Kupiec TC, Trissel LA.
Compatibility of micafungin injection with other drugs during simulated Y-site co-administration.
Int J Pharm Compound 2006 ; 10: 230-232.
2227 Tạp chí Trusley C, Ben M, Kupiec TC, Trissel LA.
Compatibility and stability of palonosetron hydrochloride with four neuromuscular blocking agents during simulated Y-site administration.
Int J Pharm Compound 2008 ; 12, 2: 156-160.
2269 Tạp chí Chan P, Bishop A, Kupiec TC, Trissel LA, Gole D, Jimidar IM, Vermeersch H.
Compatibility of ceftobiprole medocaril with selected drugs during simulated Y-site administration.
Am J Health-Syst Pharm 2008 ; 65, 16: 1545-1551.
3134 Tạp chí Perez Jua En, Maqueda Palau M, Arévalo Rubert Mt, Ribas Nicolau B, Amoros Cerdà SM.
Compatibilidad visual y física de la furosemida en mezclas intravenosas para perfusión continua.
Enferm Intensiva 2010 ; 21: 96-103.
3212 Tạp chí Ribas Nicolau, B.; P?rez Juan, E.; Amor?s Cerd?, S.M.; Ar?valo Rubert, M.J.; Maqueda Palau, M.
Compatibilidad física del bicarbonato sódico con fármacos de uso frecuente en la unidad de cuidados intensivos.
Enferm Intensiva 2011 ;22:78-82.
3249 Tạp chí Singh BM, Dedhiya MG, Dinunzio J, Chan P, Kupiec TC, Trissel LA, Laudano JB.
Compatibility of ceftaroline fosamil for injection with selected drugs during simulated Y-site administration.
Am J Health-Syst Pharm 2011 ; 68: 2163-2169.
3429 Tạp chí Foushee J.A, Fox L.M, Gormley L.R, Lineberger M.S.
Physical compatibility of cisatracurium with selected drugs during simulated Y-site administration
Am J Health-Syst Pharm 2015 ; 72:483-486
3463 Tạp chí Eva Perez Juan, Maria Jos? Arévalo Rubert , Silvia Monica Amoros Cerda , Palau M.M, Nicolau B.R.
Fármacos en perfusión continua en la unidad de cuidados intensivos: estudio de compatibilidad.
Nursing 2011 ; 29 :62-6
3464 Tạp chí Monica Maqueda-Palau, Eva Pérez-Juan, Maria Josep Arévalo-Rubert, Sylvia Monica Amoros-Cerda, Bàrbara Ribas-Nicolau.
Compatibilidad física de la amiodarona en perfusión continua
Enferm Clin 2011 21:25-29.
3465 Tạp chí E. P?rez Juan, M. Maqueda Palau, M. Ar?valo Rubert, B. Ribas Nicolau, S.M. Amor?s Cerd?.
Compatibilidad visual y física de la furosemida en mezclas intravenosas para perfusión continua.
Enferm Intensiva 2010 ;21:96-103.
3466 Tạp chí B. Ribas Nicolau, E. P?rez Juan, S.M. Amor?s Cerd?, M.J. Ar?valo Rubert, M. Maqueda Palau.
Compatibilidad física del bicarbonato sódico con fármacos de uso frecuente en la unidad de cuidados intensivos
Enferm Intensiva 2011 ;22:78-82.
3540 Thông tin của nhà sản xuất Heparin sodium - Summary of Product Characteristics.
Wockhardt 2010
3601 Thông tin của nhà sản xuất Cisatracurium Actavis - Résumé des Caractéristiques du Produit
Actavis 2012
3823 Tạp chí Juan E.P, Palau M.M, Cerd? S.A, Rubert M.A, Nicolau B.R.
Compatibilité physique de médicaments administrés dans l’unité de soins intensifs
Pharmactuel 2015 ; 48, 3 : 146-152.
3827 Poster Ghazi I.M, Hamada Y, Nicolau D.P.
Compatibility of tedizolid phosphate with selected intravenous drugs via simulated Y-site conditions.
ASHP Midyear 2015
3828 Poster Thabit A.K, Hamada Y, Nicolau D.P.
Ceftozolane/tazobactam physical compatibility during simulated Y-site administration.
ASHP Midyear 2015
3829 Poster So W, Kim L, Thabit A.K, Nicolau D.P, Kuti J.L.
Compatibility of isavunazonium sulfate during simulated Y-site administration.
ASHP Midyear 2015
3879 Tạp chí Foushee Jaime A, Meredith Pmichaele, Fox Laura M, Grace Edward E.
Y-site Physical Compatibility of Beta-blocker Infusions with Intensive Care Unit Admixtures.
Int J Pharm Compound 2016 ; 20, 4 : 328-332.
4055 Tạp chí Monogue M, Almarzoky Abuhussain S, Kuti J, Nicolau D.
Physical compatibility of fosfomycin for injection with select i.v. drugs during simulated Y-site administration.
Am J Health-Syst Pharm 2018 , 75, 1:36-44
4145 Tạp chí Asempa T.E, Avery L.M, Kidd J.M, Kuti J.L, Nicolau D.P.
Physical compatibility of plazomicin with select i.v. drugs during simulated Y-site administration.
Am J Health-Syst Pharm 2018 ;75,14:1048-1056
4358 Tạp chí Pignard J, Bourdeaux D, Kauffmann S, Constantin J.M, Sautou V.
Stabilité physico-chimique des solutions injectables de bésilate de cisatracurium dans les conditions cliniques d'utilisation
Ann Fr Anesth Réanim 2014 ; 33, 5: 304-309.
4433 Tạp chí Ghazi I.M, El Nekidy W.S, Sood A, Dulku A, Patel R, Patel K.
Y-site Administration of Imipenem/Cilastatin/ Relebactam With Common Intravenous Medications
Clin Ther 2020 ; 42, 3: 475-485.
4434 Tạp chí Avery L.M, Chen, I.H, Reyes, S, Nicolau, D.P, Kuti J.L.
Assessment of the Physical Compatibility of Eravacycline and Common Parenteral Drugs During Simulated Y-site Administration.
Clin Ther 2019 ; 41, 10: 2162-2170.
4465 Tạp chí Foushee A, Meredith P, Fox Laura, Wilder A.
Y-site physical compatibility of hydrocortisone continuous infusions with admixtures used in critically ill patients.
Am J Health-Syst Pharm 2020 ;77,14:1144-1148
4491 Tạp chí De Basagoiti A, Katsumiti A, Abascal S, Bustinza A, López-Giménez L.R, Pilar P, De Miguel M, Campino A.
Physical compatibility of alprostadil with selected drugs commonly used in the neonatal intensive care units.
Eur J Pedia 2020
4507 Tạp chí Ross E, Salinas A, Petty K, Her C, Carpenter J.
Compatibility of medications with intravenous lipid emulsions: Effects of simulated Y-site mixing.
Am J Health-Syst Pharm 2020 ;77,23:1980-1985
4528 Tạp chí Lu J, Liu Q, Kupiec T, Vail H, Lunch L, Fam D, Vu N.
Physical Compatibility of Cefiderocol with Selected Intravenous Drugs During Simulated Y-site Administration.
Int J Pharm Compound 2021 ;25,1:52-61
4569 Tạp chí Lee T.M , Villareal C.L, Meyer L.M.
Y-Site Compatibility of Intravenous Levetiracetam With Commonly Used Critical Care Medications.
Hosp Pharm 2021 ; 56, 4: 282-286.
4650 Thông tin của nhà sản xuất Ceftobiprole (Zevtera 500 mg powder for concentrate for solution for infusion.) Summary of Product Characteristics, Advanz Pharma updated 4 aug 2021.
Advanz Pharma 2021
4651 Tạp chí De Basagoiti A, Katsumiti A, Abascal S, Bustinza A, López-Giménez L.R, Pascual P, De Miguel M, Campino A.
Physical compatibility of alprostadil with selected drugs commonly used in the neonatal intensive care units.
Eur J Pedia 2021 ;180,1169–1176.
4769 Tạp chí Roche M, Danel C, Simon N, Kouach M, Bouchfaa M, Berneron C, Odou P, Lannoy D.
Cisatracurium Besylate 10 mg/mL Solution Compounded in a Hospital Pharmacy to Prevent Drug Shortages : A Stability Study Involving Four Degradation Products.
Pharmaceutics 2023 ;15,1404
4801 Tạp chí Ruiz V, Yuwei Shen Y, Abouelhassan Y, Fouad A, Nicolau D, Kuti J.
Physical compatibility of sulbactam/durlobactam with select intravenous drugs during simulated Y-site administration.
Am J Health-Syst Pharm 2024 ;51,1:

  Mentions Légales