Posledná aktualizácia :
27/01/2026
kurarimimetikum/periférne myorelaxans   Cisatracurium besylate  
Injekcia
Stabilita roztokov Stabilita v zmesiach Faktory ovplyvňujúce stabilitu Kompatibility spôsob podania Odkazy na literatúru PDF
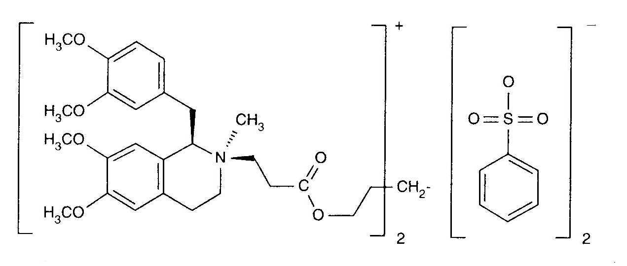
   Chemický vzorec  

Obchodný názov   Obchodný názov     

Obchodné názvy sú orientačné, a zloženie pomocných látok sa môže líšiť v závislosti od krajiny a výrobcu.

Bensitrak Mexiko
Besilato de cisatracurio
Cicuryl Mexiko
Cirium Kolumbia
Cis Atracure
Cisatracurio Brazília, Čile, Ekvádor, Kolumbia, peru, Španielsko, Taliansko
Cisatracurium Belgicko, Fínsko, Francúzsko, Írsko, Kanada, Maďarsko, Nemecko, Tunisko, Veľká Británia
Nimbex Belgicko, Čile, Dánsko, Egypt, Ekvádor, Fínsko, Francúzsko, Grécko, Holandsko, Irán, Írsko, Kanada, Luxembursko, Maďarsko, Malajzia, Mexiko, Nemecko, Nórsko, peru, Poľsko, Portugalsko, Rakúsko, Saudská Arábia, Slovinsko, Španielsko, Spojené arabské emiráty, Spojené štáty Americké, Švédsko, Taliansko, Tunisko, Turecko, Veľká Británia, Venezuela
Nimbium Brazília, Kolumbia
Odkazy na literatúru   Injekcia   Odkazy na literatúru : Cisatracurium besylate  
Typ Publikácia
59 Časopis Trissel LA, Gilbert DL, Martinez JF, Kim MC.
Compatibility of remifentanil hydrochloride with selected drugs during simulated Y-site administration.
Am J Health-Syst Pharm 1997 ; 54: 2192-2196.
299 Časopis Trissel LA, Martinez JF, Gilbert DL.
Compatibility of cisatracurium besylate with selected drugs during simulated Y-site administration.
Am J Health-Syst Pharm 1997 ; 54: 1735-1741.
533 Časopis Xu QA, Zhang YP, Trissel LA, Gilbert DL, Martinez JF, Fox JL.
Stability of cisatracurium besylate in vials, syringes and infusion admixtures.
Am J Health-Syst Pharm 1998 ; 55: 1037-1041.
921 Časopis Trissel LA, Gilbert DL, Martinez JF.
Incompatibility and compatibility of amphotericin B cholesteryl sulfate complex with selected other drugs during simulated Y-site administration.
Hosp Pharm 1998 ; 33: 284-292.
1712 Časopis Trissel LA, Saenz CA.
Compatibility screening of Precedex during simulated Y-site administration with other drugs.
Int J Pharm Compound 2002 ; 6: 230-233.
1721 Časopis Trissel LA, Williams KY, Baker MB.
Compatibility screening of Hextend during simulated Y-site administration with other drugs.
Int J Pharm Compound 2001 ; 5: 69-72.
1803 Časopis Trissel, LA, Saenz CA, Ogundele OB, Ingram D, Baker MB.
Compatibility of fenoldopam mesylate with other drugs during simulated Y-site administration.
Am J Health-Syst Pharm 2003 ; 60: 80-85.
1925 Časopis Trissel LA , Williams KY, Gilbert DL.
Compatibility screening of linezolid injection during simulated Y-site administration with other drugs and infusion solutions.
J Am Pharm Assoc 2000 ; 40: 515-519.
2108 Časopis Trusley C, Kupiec TC, Trissel LA.
Compatibility of micafungin injection with other drugs during simulated Y-site co-administration.
Int J Pharm Compound 2006 ; 10: 230-232.
2227 Časopis Trusley C, Ben M, Kupiec TC, Trissel LA.
Compatibility and stability of palonosetron hydrochloride with four neuromuscular blocking agents during simulated Y-site administration.
Int J Pharm Compound 2008 ; 12, 2: 156-160.
2269 Časopis Chan P, Bishop A, Kupiec TC, Trissel LA, Gole D, Jimidar IM, Vermeersch H.
Compatibility of ceftobiprole medocaril with selected drugs during simulated Y-site administration.
Am J Health-Syst Pharm 2008 ; 65, 16: 1545-1551.
3134 Časopis Perez Jua En, Maqueda Palau M, Arévalo Rubert Mt, Ribas Nicolau B, Amoros Cerdà SM.
Compatibilidad visual y física de la furosemida en mezclas intravenosas para perfusión continua.
Enferm Intensiva 2010 ; 21: 96-103.
3212 Časopis Ribas Nicolau, B.; P?rez Juan, E.; Amor?s Cerd?, S.M.; Ar?valo Rubert, M.J.; Maqueda Palau, M.
Compatibilidad física del bicarbonato sódico con fármacos de uso frecuente en la unidad de cuidados intensivos.
Enferm Intensiva 2011 ;22:78-82.
3249 Časopis Singh BM, Dedhiya MG, Dinunzio J, Chan P, Kupiec TC, Trissel LA, Laudano JB.
Compatibility of ceftaroline fosamil for injection with selected drugs during simulated Y-site administration.
Am J Health-Syst Pharm 2011 ; 68: 2163-2169.
3429 Časopis Foushee J.A, Fox L.M, Gormley L.R, Lineberger M.S.
Physical compatibility of cisatracurium with selected drugs during simulated Y-site administration
Am J Health-Syst Pharm 2015 ; 72:483-486
3463 Časopis Eva Perez Juan, Maria Jos? Arévalo Rubert , Silvia Monica Amoros Cerda , Palau M.M, Nicolau B.R.
Fármacos en perfusión continua en la unidad de cuidados intensivos: estudio de compatibilidad.
Nursing 2011 ; 29 :62-6
3464 Časopis Monica Maqueda-Palau, Eva Pérez-Juan, Maria Josep Arévalo-Rubert, Sylvia Monica Amoros-Cerda, Bàrbara Ribas-Nicolau.
Compatibilidad física de la amiodarona en perfusión continua
Enferm Clin 2011 21:25-29.
3465 Časopis E. P?rez Juan, M. Maqueda Palau, M. Ar?valo Rubert, B. Ribas Nicolau, S.M. Amor?s Cerd?.
Compatibilidad visual y física de la furosemida en mezclas intravenosas para perfusión continua.
Enferm Intensiva 2010 ;21:96-103.
3466 Časopis B. Ribas Nicolau, E. P?rez Juan, S.M. Amor?s Cerd?, M.J. Ar?valo Rubert, M. Maqueda Palau.
Compatibilidad física del bicarbonato sódico con fármacos de uso frecuente en la unidad de cuidados intensivos
Enferm Intensiva 2011 ;22:78-82.
3540 Laboratórium Heparin sodium - Summary of Product Characteristics.
Wockhardt 2010
3601 Laboratórium Cisatracurium Actavis - Résumé des Caractéristiques du Produit
Actavis 2012
3823 Časopis Juan E.P, Palau M.M, Cerd? S.A, Rubert M.A, Nicolau B.R.
Compatibilité physique de médicaments administrés dans l’unité de soins intensifs
Pharmactuel 2015 ; 48, 3 : 146-152.
3827 Poster Ghazi I.M, Hamada Y, Nicolau D.P.
Compatibility of tedizolid phosphate with selected intravenous drugs via simulated Y-site conditions.
ASHP Midyear 2015
3828 Poster Thabit A.K, Hamada Y, Nicolau D.P.
Ceftozolane/tazobactam physical compatibility during simulated Y-site administration.
ASHP Midyear 2015
3829 Poster So W, Kim L, Thabit A.K, Nicolau D.P, Kuti J.L.
Compatibility of isavunazonium sulfate during simulated Y-site administration.
ASHP Midyear 2015
3879 Časopis Foushee Jaime A, Meredith Pmichaele, Fox Laura M, Grace Edward E.
Y-site Physical Compatibility of Beta-blocker Infusions with Intensive Care Unit Admixtures.
Int J Pharm Compound 2016 ; 20, 4 : 328-332.
4055 Časopis Monogue M, Almarzoky Abuhussain S, Kuti J, Nicolau D.
Physical compatibility of fosfomycin for injection with select i.v. drugs during simulated Y-site administration.
Am J Health-Syst Pharm 2018 , 75, 1:36-44
4145 Časopis Asempa T.E, Avery L.M, Kidd J.M, Kuti J.L, Nicolau D.P.
Physical compatibility of plazomicin with select i.v. drugs during simulated Y-site administration.
Am J Health-Syst Pharm 2018 ;75,14:1048-1056
4358 Časopis Pignard J, Bourdeaux D, Kauffmann S, Constantin J.M, Sautou V.
Stabilité physico-chimique des solutions injectables de bésilate de cisatracurium dans les conditions cliniques d'utilisation
Ann Fr Anesth Réanim 2014 ; 33, 5: 304-309.
4433 Časopis Ghazi I.M, El Nekidy W.S, Sood A, Dulku A, Patel R, Patel K.
Y-site Administration of Imipenem/Cilastatin/ Relebactam With Common Intravenous Medications
Clin Ther 2020 ; 42, 3: 475-485.
4434 Časopis Avery L.M, Chen, I.H, Reyes, S, Nicolau, D.P, Kuti J.L.
Assessment of the Physical Compatibility of Eravacycline and Common Parenteral Drugs During Simulated Y-site Administration.
Clin Ther 2019 ; 41, 10: 2162-2170.
4465 Časopis Foushee A, Meredith P, Fox Laura, Wilder A.
Y-site physical compatibility of hydrocortisone continuous infusions with admixtures used in critically ill patients.
Am J Health-Syst Pharm 2020 ;77,14:1144-1148
4491 Časopis De Basagoiti A, Katsumiti A, Abascal S, Bustinza A, López-Giménez L.R, Pilar P, De Miguel M, Campino A.
Physical compatibility of alprostadil with selected drugs commonly used in the neonatal intensive care units.
Eur J Pedia 2020
4507 Časopis Ross E, Salinas A, Petty K, Her C, Carpenter J.
Compatibility of medications with intravenous lipid emulsions: Effects of simulated Y-site mixing.
Am J Health-Syst Pharm 2020 ;77,23:1980-1985
4528 Časopis Lu J, Liu Q, Kupiec T, Vail H, Lunch L, Fam D, Vu N.
Physical Compatibility of Cefiderocol with Selected Intravenous Drugs During Simulated Y-site Administration.
Int J Pharm Compound 2021 ;25,1:52-61
4569 Časopis Lee T.M , Villareal C.L, Meyer L.M.
Y-Site Compatibility of Intravenous Levetiracetam With Commonly Used Critical Care Medications.
Hosp Pharm 2021 ; 56, 4: 282-286.
4650 Laboratórium Ceftobiprole (Zevtera 500 mg powder for concentrate for solution for infusion.) Summary of Product Characteristics, Advanz Pharma updated 4 aug 2021.
Advanz Pharma 2021
4651 Časopis De Basagoiti A, Katsumiti A, Abascal S, Bustinza A, López-Giménez L.R, Pascual P, De Miguel M, Campino A.
Physical compatibility of alprostadil with selected drugs commonly used in the neonatal intensive care units.
Eur J Pedia 2021 ;180,1169–1176.
4769 Časopis Roche M, Danel C, Simon N, Kouach M, Bouchfaa M, Berneron C, Odou P, Lannoy D.
Cisatracurium Besylate 10 mg/mL Solution Compounded in a Hospital Pharmacy to Prevent Drug Shortages : A Stability Study Involving Four Degradation Products.
Pharmaceutics 2023 ;15,1404
4801 Časopis Ruiz V, Yuwei Shen Y, Abouelhassan Y, Fouad A, Nicolau D, Kuti J.
Physical compatibility of sulbactam/durlobactam with select intravenous drugs during simulated Y-site administration.
Am J Health-Syst Pharm 2024 ;51,1:

  Mentions Légales