Son güncelleme :
27/04/2026
Antibiyotik   Spiramycine adipate  
Enjeksiyon
Çözeltilerin stabilitesi Karışımlardaki stabilitesi Stabiliteyi etkileyen faktörler Uyumluluk Uygulama yöntemi Kaynaklar pdf
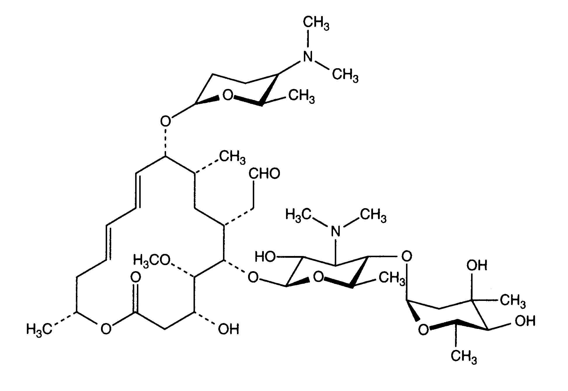
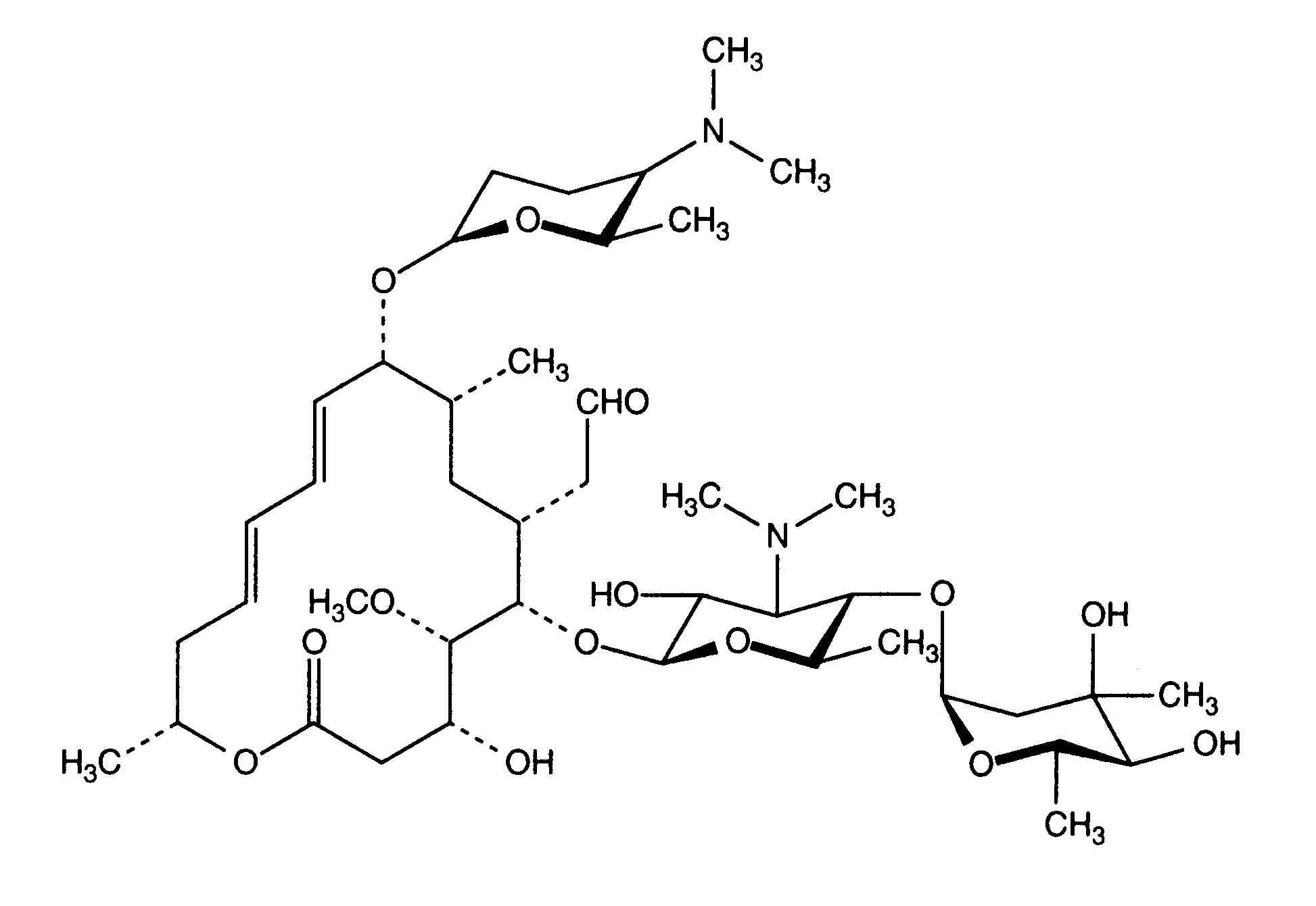
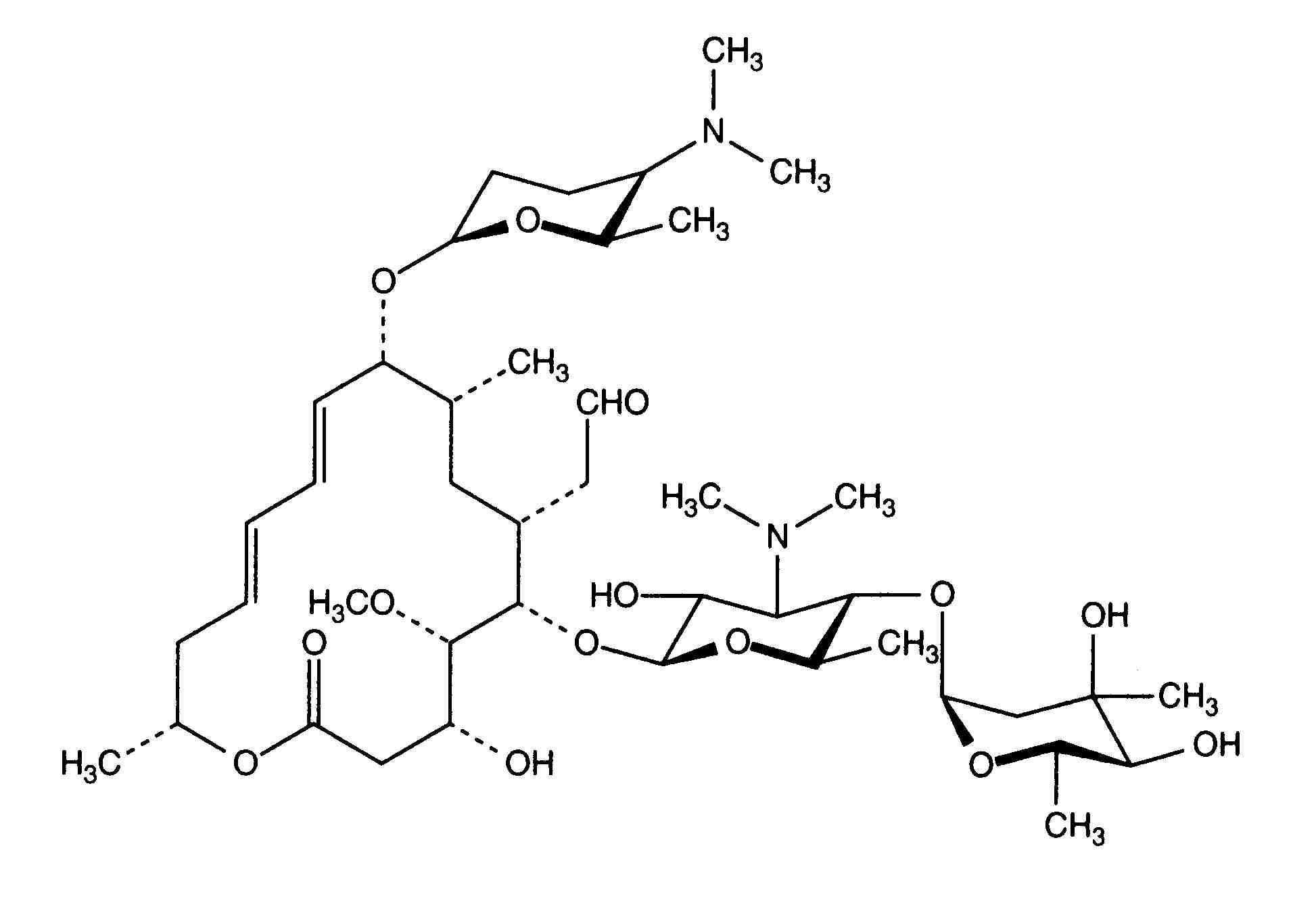
   Kimyasal yapı   

Ticari isim   Ticari isim     

Trade names are indicative and excipients composition can be different depending on the country and manufacturers

Rovamycine Fransa, Polonya
Karışımlardaki stabilitesi   Enjeksiyon    Karışımlardaki stabilitesi : Spiramycine adipate     
veri yok

  Mentions Légales