Last update :
27/04/2026
Antibiotic   Spiramycine adipate  
injection
Stability in solutions Stability of mixtures Factors which affect stability Compatibility Route of administration References pdf
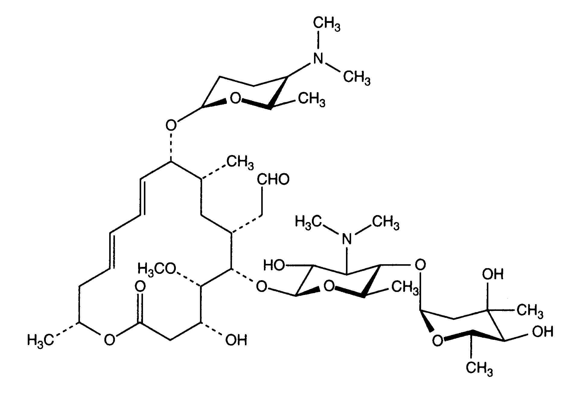
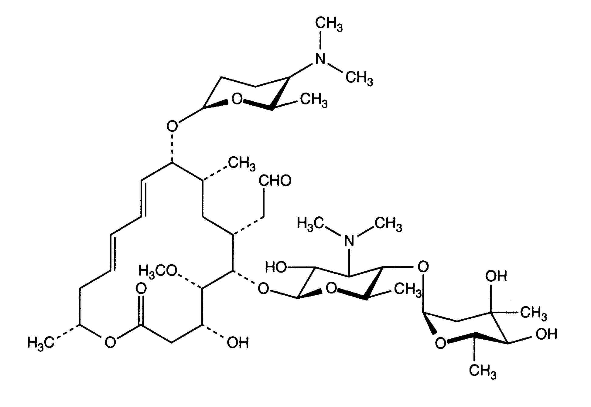
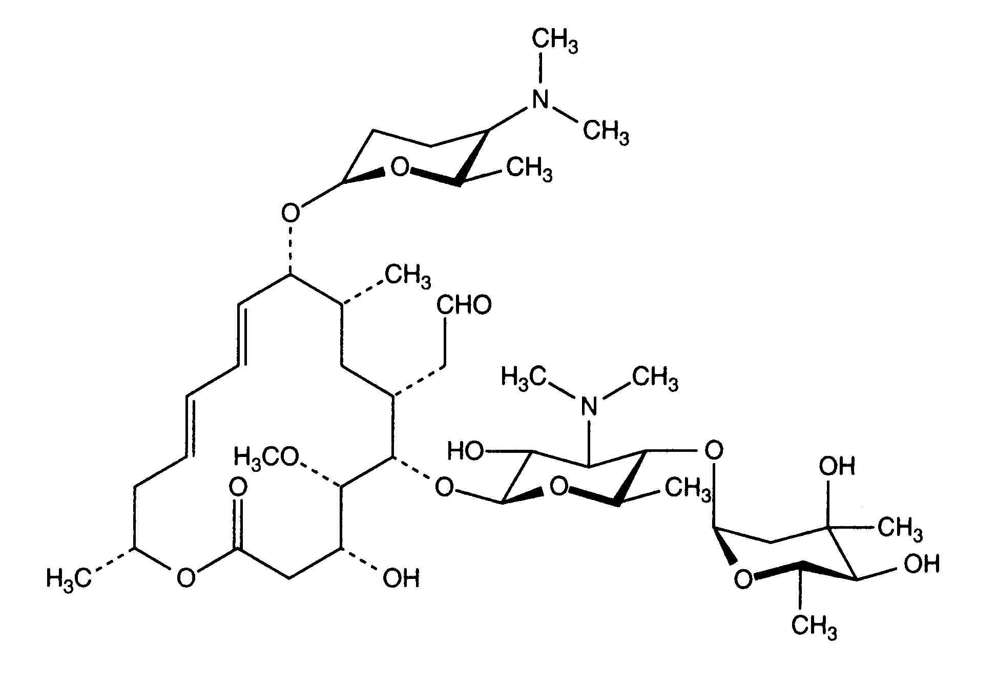
   Chemical structure  

Tradename   Tradename     

Trade names are indicative and excipients composition can be different depending on the country and manufacturers

Rovamycine France, Poland
Stability of mixtures   injection   Stability of mixtures : Spiramycine adipate     
No data

  Mentions Légales