Seneste opdatering :
27/04/2026
Antibiotisk   Spiramycine adipate  
Injektion
Stabilitet i (vandige) opløsninger Stabilitet i blandinger Faktorer der påvirker stabiliteten Kompatibilitet Administrationsvej Bibliografi pdf
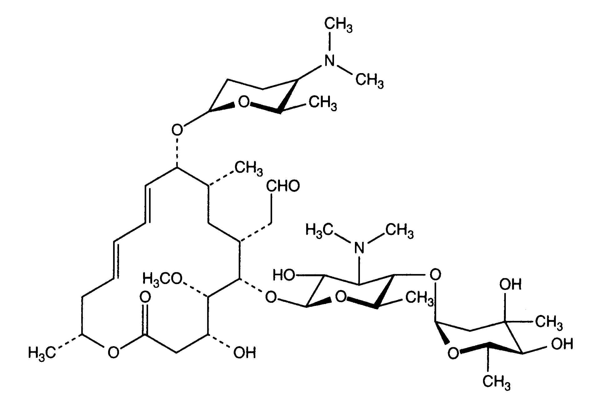
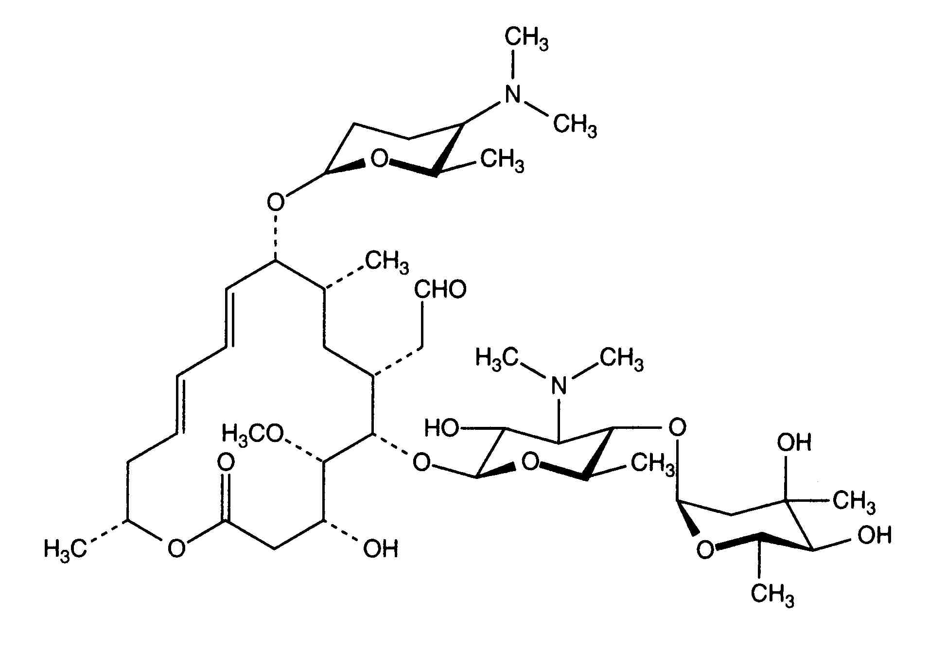
   Kemisk struktur  

Handelsnavn   Handelsnavn     

Handel navne er vejledende og hjælpestoffer sammensætning kan være forskellig afhængigt af landet og laboratorier

Rovamycine Frankrig, Polen
Stabilitet i blandinger   Injektion   Stabilitet i blandinger : Spiramycine adipate     
Ingen data

  Mentions Légales