Zadnji put ažurirano :
27/04/2026
antibiotik   Spiramycine adipate  
injekcija
Stabilizacija rješenja Stabilnost mješavine Stabilizacijski faktor Kompatibilnosti način davanja lijeka Bibliografija pdf
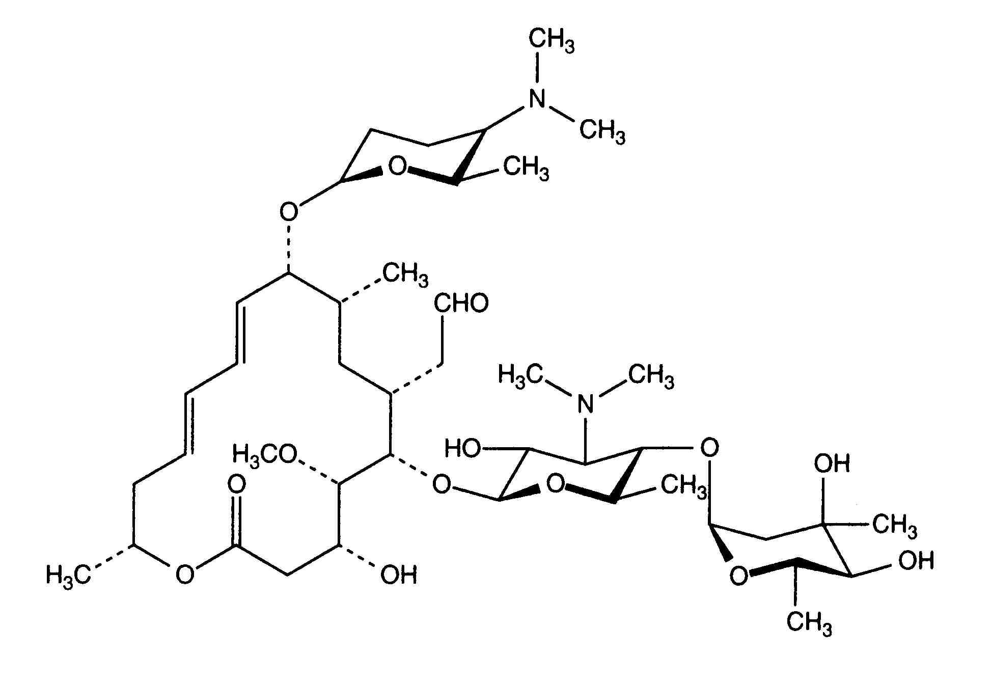
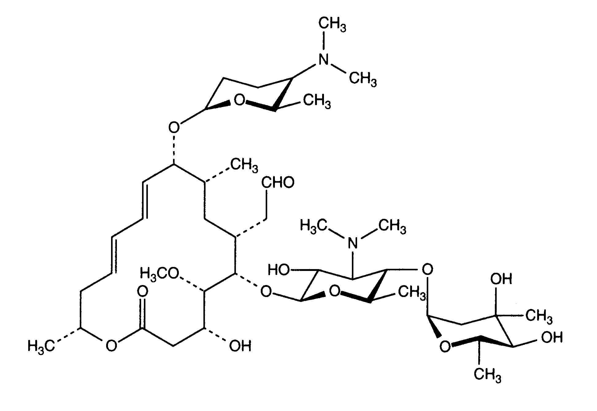
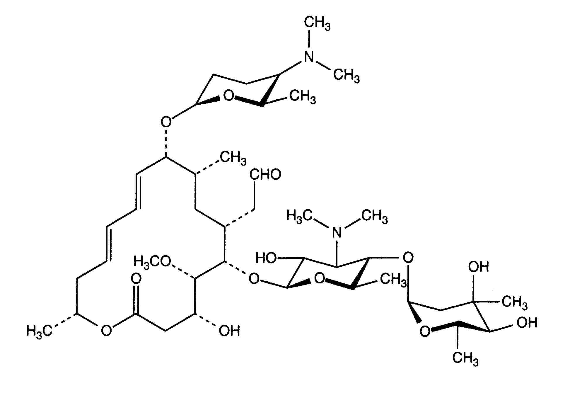
   Kemijska struktura  

Nekomercijalni   Nekomercijalni     

Zaštićeni nazivi su indikativni i sastav ekscipijensa može biti različit ovisno o državi i laboratorijima

Rovamycine Francuska, Poljska
Stabilnost mješavine   injekcija   Stabilnost mješavine : Spiramycine adipate     
bez podataka

  Mentions Légales