Última actualização :
27/04/2026
antibiótico   Spiramycine adipate  
injetável
Estabilidade em soluções simples Estabilidade em misturas Factores que afectam a sua estabilidade Compatibilidade Método de administração Bibliografía pdf
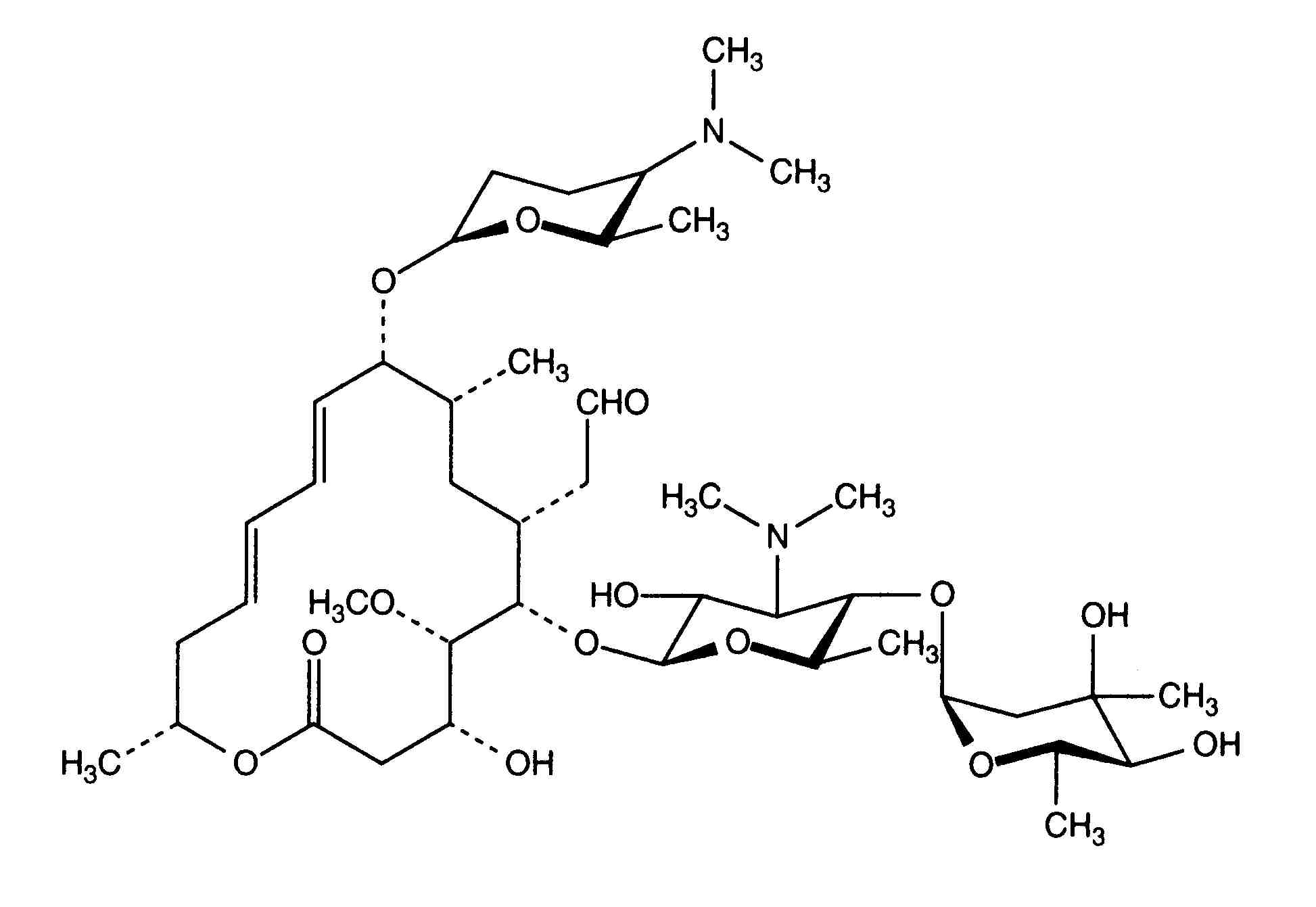
   estrutura química  

Nomes comerciais nos diversos países   Nomes comerciais nos diversos países     

OS NOMES COMERCIAIS SÃO INDICATIVOS E OS EXCIPIENTES DA FORMULAÇÃO PODEM SER DIFERENTES CONFORME O PAÍS E FABRICANTE.

Rovamycine França, Polonia
Estabilidade em misturas   injetável   Estabilidade em misturas : Spiramycine adipate     
Ausência de dados

  Mentions Légales